Hỗ trợ tư vấn
Tư vấn - Giải đáp - Hỗ trợ đặt tài liệu
Mua gói Pro để tải file trên Download.vn (không bao gồm tài liệu cao cấp) và trải nghiệm website không quảng cáo
Tìm hiểu thêm »40 đề thi Học sinh giỏi Toán 9 dùng cho giáo viên bồi dưỡng học sinh giỏi và học sinh luyện tập trước kì thi học sinh giỏi
Thời gian: 150 phút
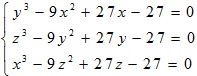
Câu I. ( 4 điểm). Giải phương trình:
Câu II. (4 điểm)
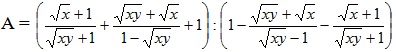
1. Cho biểu thức:![]()
Tìm giá trị nhỏ nhất của biểu thức A.
2. Cho a > 0; b > 0; c > 0
Chứng minh bất đẳng thức: ![]()
Câu III. (4,5 điểm)
1. Giải bài toán bằng cách lập phương trình: Tìm số tự nhiên có hai chữ số biết rằng chữ số hàng chục lớn hơn chữ số hàng đơn vị là 2 và số đó lớn hơn tổng các bình phương các chữ số của nó là 1.
2. Cho phương trình: x2 – (m + 1)x + 2m - 3 = 0 (1)
+ Chứng minh rằng phương trình trên luôn có 2 nghiệm phân biệt với mọi giá trị của m.
+ Tìm giá trị của m để phương trình (1) có nghiệm bằng 3.
Câu IV (4 điểm)
Cho hình thang cân ABCD, (AB//CD; AB > CD). Hai đường chéo AC và BD cắt nhau tại I. Góc ACD = 600; gọi E; F; M lần lượt là trung điểm của các đoạn thẳng IA; ID; BC.
1. Chứng minh tứ giác BEFC nội tiếp được trong một đường tròn.
2. Chứng minh tam giác MEF là tam giác đều.
Câu V. (3,5 điểm)
Cho hình chóp tam giác đều S. ABC có các mặt là tam giác đều. Gọi O là trung điểm của đường cao SH của hình chóp.
Chứng minh rằng: góc AOB = BOC = COA = 900
Bài 1 (2 điểm):
1. Cho biểu thức:
a. Rút gọn biểu thức.
b. Cho
. Tìm Max A.
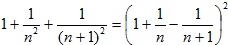
2. Chứng minh rằng với mọi số nguyên dương n ta có:![]()
Từ đó tính tổng:![]()
Bài 2 (2 điểm):
Phân tích thành nhân tử: A = (xy + yz + zx) (x + y+ z) – xyz
Bài 3 (2 điểm):
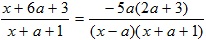
1. Tìm giá trị của a để phương trình sau chỉ có 1 nghiệm:![]()
2. Giả sử x1, x2 là 2 nghiệm của phương trình: x2 + 2kx + 4 = 4
Tìm tất cả các giá trị của k sao cho có bất đẳng thức:
Bài 4: (2 điểm) Cho hệ phương trình:
1. Giải hệ phương trình với m = 1
2. Tìm m để hệ đã cho có nghiệm.
Bài 5 (2 điểm):
1. Giải phương trình: ![]()
2. Giải hệ phương trình:
Bài 6 (2 điểm):
Trên mặt phẳng toạ độ cho đường thẳng (d) có phương trình: 2kx + (k – 1)y = 2 (k là tham số)
1. Tìm k để đường thẳng (d) song song với đường thẳng y = √3.x? Khi đó hãy tính góc tạo bởi (d) và tia Ox.
2. Tìm k để khoảng cách từ gốc toạ độ đến đường thẳng (d) là lớn nhất?
Bài 7 (2 điểm): Giả sử x, y là các số dương thoả mãn đẳng thức: x + y = √10
Tìm giá trị của x và y để biểu thức: P = (x4 + 1)(y4 + 1) đạt giá trị nhỏ nhất. Tìm giá trị nhỏ nhất ấy.
Bài 8 (2 điểm):
Cho Δ ABC với BC = 5cm, AC= 6cm; AB = 7cm. Gọi O là giao điểm 3 đường phân giác, G là trọng tâm của tam giác. Tính độ dài đoạn OG.
Bài 9 (2 điểm)
Gọi M là một điểm bất kì trên đường thẳng AB. Vẽ về một phía của AB các hình vuông AMCD, BMEF.
a. Chứng minh rằng AE vuông góc với BC.
b. Gọi H là giao điểm của AE và BC. Chứng minh rằng ba điểm D, H, F thẳng hàng.
c. Chứng minh rằng đường thẳng DF luôn luôn đi qua một điểm cố định khi M chuyển động trên đoạn thẳng AB cố định.
d. Tìm tập hợp các trung điểm K của đoạn nối tâm hai hình vuông khi M chuyển động trên đường thẳng AB cố định.
Bài 10 (2 điểm):
Cho xOy khác góc bẹt và một điểm M thuộc miền trong của góc. Dựng đường thẳng qua M và cắt hai cạnh của góc thành một tam giác có diện tích nhỏ nhất.
Download tài liệu để xem chi tiết.
Theo Nghị định 147/2024/ND-CP, bạn cần xác thực tài khoản trước khi sử dụng tính năng này. Chúng tôi sẽ gửi mã xác thực qua SMS hoặc Zalo tới số điện thoại mà bạn nhập dưới đây: