Hỗ trợ tư vấn
Tư vấn - Giải đáp - Hỗ trợ đặt tài liệu
Mua gói Pro để tải file trên Download.vn (không bao gồm tài liệu cao cấp) và trải nghiệm website không quảng cáo
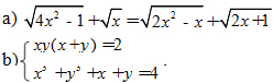
Tìm hiểu thêm »Câu 1. (3 điểm)
Giải hệ phương trình và phương trình sau:

Câu 2. (3 điểm)
a) Giả sử x1, x2 là 2 nghiệm dương của phương trình x2 – 4x + 1 = 0. Chứng minh rằng x1 + x2 là một số nguyên.
b) Cho a, b là các số nguyên dương thỏa mãn a + 1 và b + 2007 đều chia hết cho 6. Chứng minh rằng 4a + a + b chia hết cho 6.
Câu 3. (3 điểm)
Cho M là trung điểm của cung nhỏ AB của đường tròn tâm O (AB không phải là đường kính). C và D là 2 điểm phân biệt, thay đổi nằm giữa A và B. Các đường thẳng MC, MD cắt (O) tương ứng tại E, F khác M.
a) Chứng minh các điểm C, D, E, F nằm trên một đường tròn.
b) Gọi O1 và O2 lần lượt là tâm các đường tròn ngoại tiếp các tam giác ACE và BDF. Chứng minh rằng khi C và D thay đổi trên đoạn AB thì giao điểm của hai đường thẳng AO1 và BO2 là một điểm cố định.
Câu 4. (1 điểm)
Cho a, b, c là các số thực dương thỏa mản abc = 1. Chứng minh rằng:![]()
Câu 1. Cho phương trình:![]()
a) Tìm m để x = -1 là một nghiệm của phương trình (1)
b) Tìm m để phương trình (1) vô nghiệm
Câu 2.
a) Giải bất phương trình: |(x +3)( x - 1)| - 2|x - 1| < x2 - 7
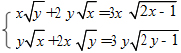
b) Giải hệ phương trình: 
Câu 3.
a) Cho a, b là hai số thoả mãn điều kiện: a2 - 3ab + b2 + a - b = a2 - 2ab + b2 - 5a + 7b = 0
Chứng tỏ rằng: ab - 12a + 15b = 0
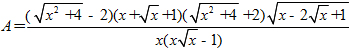
b) Cho: ![]()
Hãy tìm tất cả các giá trị của x để A3 < 0
Câu 4. Cho tam giác ABC nhọn có H là trực tâm và góc BAC bằng 60o. Gọi M, N, P lần lượt là chân đường cao kẻ từ A, B, C của tam giác ABC là I là trung điểm của BC.
a) Chứng minh rằng tam giác INP đều
b) Gọi E và K lần lượt là trung điểm của PB và NC. Chứng minh các điểm I, M, E và K cùng thuộc một đường tròn
c) Giả sử IA là phân giác của góc NIP. Hãy tính số đo của góc BCP
Câu 5.
Một công ty may giao cho tổ A may 16800 sản phẩm, tổ B may 16500 sản phẩm và bắt đầu thực hiện công việc cùng một lúc. Nếu sau 6 ngày, tổ A được hỗ trợ thêm 10 công nhân may thì họ hoàn thành công việc cùng lúc với tổ B. Nếu tổ A được hỗ trợ thêm 10 công nhân may ngay từ đầu thì họ sẽ hoàn thành công việc sớm hơn tổ B 1 ngày. Hãy xác định số công nhân ban đầu của mỗi tổ. Biết rằng, mỗi công nhân may mỗi ngày được 20 sản phẩm.
Download tài liệu để xem chi tiết.
Theo Nghị định 147/2024/ND-CP, bạn cần xác thực tài khoản trước khi sử dụng tính năng này. Chúng tôi sẽ gửi mã xác thực qua SMS hoặc Zalo tới số điện thoại mà bạn nhập dưới đây: