Hỗ trợ tư vấn
Tư vấn - Giải đáp - Hỗ trợ đặt tài liệu
Mua gói Pro để tải file trên Download.vn (không bao gồm tài liệu cao cấp) và trải nghiệm website không quảng cáo
Tìm hiểu thêm »Giải Hoá 11 Bài 18: Hợp chất carbonyl là tài liệu vô cùng hữu ích, giúp các em học sinh lớp 11 có thêm nhiều gợi ý tham khảo, nhanh chóng trả lời toàn bộ câu hỏi trong sách Cánh diều trang 122, 123, 124, 125, 126, 127, 128, 129, 130, 131.
Soạn Hóa 11 Cánh diều Bài 18 được trình bày khoa học, chi tiết giúp các em rèn kỹ năng giải Hóa, so sánh đáp án vô cùng thuận tiện. Đồng thời đây cũng là tài liệu giúp quý thầy cô tham khảo để soạn giáo án cho riêng mình. Vậy sau đây là giải Hóa 11 Hợp chất carbonyl Cánh diều, mời các bạn cùng theo dõi tại đây.
Công thức cấu tạo của acetone là
A. CH3COCH2CH3.
B. CH3CH2COCH2CH3.
C. CH3COCH3.
D. CH3CHO.
Gợi ý đáp án
Đáp án đúng là: C
Acetone: CH3COCH3.
Khử CH3COCH3 bằng LiAlH4 thu được sản phẩm là
A. ethanal.
B. acetone.
C. propan – 1 – ol.
D. propan – 2 – ol.
Gợi ý đáp án
Đáp án đúng là: D
CH3COCH3
\(\overset{LiAlH_{4} }{\rightarrow}\) CH3CH(OH)CH3.
Viết công thức cấu tạo và gọi tên thay thế các aldehyde có cùng công thức C5H10O.
Gợi ý đáp án
Các aldehyde có cùng công thức C5H10O:
CH3CH2CH2CH2CHO: pentanal.

Viết công thức cấu tạo của các chất carbonyl có công thức phân tử là C3H6O. Trình bày tối thiểu hai phương pháp hoá học để phân biệt các chất đó. Lập sơ đồ (hoặc bảng), ghi rõ hiện tượng và viết các phương trình hoá học để giải thích.
Gợi ý đáp án
Công thức cấu tạo của các chất carbonyl có công thức phân tử C3H6O là:
CH3CH2CHO: propanal.
CH3COCH3: propanone.
Cách 1: Phân biệt propanal và propanone bằng thuốc thử Tollens:
|
Chất |
CH3CH2CHO |
CH3COCH3 |
|
Hiện tượng với thuốc thử Tollens |
Kết tủa bạc |
Không hiện tượng |
Phương trình hoá học:
CH3CH2CHO + 2[Ag(NH3)2OH]
\(\overset{t^{o} }{\rightarrow}\) CH3CH2COONH4 + 2Ag + 3NH3 + H2O.
Cách 2: Phân biệt propanal và propanone bằng thuốc thử Cu(OH)2/OH-.
|
Chất |
CH3CH2CHO |
CH3COCH3 |
|
Hiện tượng với thuốc thử Cu(OH)2/OH- |
Kết tủa đỏ gạch |
Không hiện tượng |
Phương trình hoá học:
CH3CH2CHO + 2Cu(OH)2 + NaOH
\(\overset{t^{o} }{\rightarrow}\) CH3CH2COONa + Cu2O + 3H2O.
Hợp chất hữu cơ X được dùng nhiều trong tổng hợp hữu cơ. Bằng phương pháp phân tích nguyên tố, người ta xác định được X chứa 62,07%C; 10,34%H; còn lại là O. Trên phổ MS của X, người ta thấy có peak ion phân tử [M+] có giá trị m/z bằng 58. Trên phổ IR của X có một peak trong vùng 1 670 – 1740 cm-1. Chất X không có phản ứng với Cu(OH)2 trong môi trường kiềm để tạo ra kết tủa màu đỏ gạch. Xác định công thức cấu tạo của X.
Gợi ý đáp án
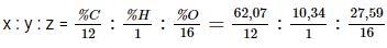
%O = 100% - 62,07% - 10,34% = 27,59%.
Đặt công thức chung của X là: CxHyOz, ta có:
![]()
= 5,1725 : 10,34 : 1,724 = 3 : 6 : 1.
Công thức đơn giản nhất của X là C3H6O và công thức phân tử của X có dạng: (C3H6O)n.
Peak ion phân tử [M+] có giá trị m/z bằng 58 cho thấy X có phân tử khối bằng 58.
⇒ 58n = 1 ⇒ n = 1.
Vậy công thức phân tử của X là: C3H6O.
Trên phổ IR của X có một peak trong vùng 1 670 – 1740 cm-1 nên X là hợp chất carbonyl.
Chất X không có phản ứng với Cu(OH)2 trong môi trường kiềm để tạo ra kết tủa màu đỏ gạch nên X là ketone.
Công thức cấu tạo của X là: CH3COCH3.
Cho ba chất hữu cơ A, B, C có cùng công thức phân tử là C3H6O. Chất A có mạch carbon và có phản ứng tráng bạc; chất B không có phản ứng tráng bạc nhưng có phản ứng iodoform; chất C làm mất màu nước bromine. Khi hydrogen hoá C rồi oxi hoá sản phẩm thì được A. Xác định công thức cấu tạo và gọi tên A, B, C theo danh pháp thay thế.
Gợi ý đáp án
Công thức cấu tạo của:
(A): CH3CH2CHO: propanal.
(B): CH3COCH3: propanone.
(C): CH2 = CH – CH2 – OH: prop – 2 – ene – 1 – ol.
Theo Nghị định 147/2024/ND-CP, bạn cần xác thực tài khoản trước khi sử dụng tính năng này. Chúng tôi sẽ gửi mã xác thực qua SMS hoặc Zalo tới số điện thoại mà bạn nhập dưới đây: