Hỗ trợ tư vấn
Tư vấn - Giải đáp - Hỗ trợ đặt tài liệu
Mua gói Pro để tải file trên Download.vn (không bao gồm tài liệu cao cấp) và trải nghiệm website không quảng cáo
Tìm hiểu thêm »Giải Hoá 11 Bài 17: Phenol là tài liệu vô cùng hữu ích, giúp các em học sinh lớp 11 có thêm nhiều gợi ý tham khảo, nhanh chóng trả lời toàn bộ câu hỏi trong sách Cánh diều trang 116, 117, 118, 119, 120, 121.
Soạn Hóa 11 Cánh diều Bài 17 được trình bày khoa học, chi tiết giúp các em rèn kỹ năng giải Hóa, so sánh đáp án vô cùng thuận tiện. Đồng thời đây cũng là tài liệu giúp quý thầy cô tham khảo để soạn giáo án cho riêng mình. Vậy sau đây là giải Hóa 11 Phenol Cánh diều, mời các bạn cùng theo dõi tại đây.
Cho các chất có công thức sau: C6H5OH, C6H5CH3, C6H5Cl và các giá trị nhiệt độ sôi (không theo thứ tự) là 110 oC, 132 oC, 182 oC. Hãy dự đoán nhiệt độ sôi tương ứng với mỗi chất trên. Giải thích.
Gợi ý đáp án
Dự đoán nhiệt độ sôi các chất như sau:
|
Chất |
C6H5CH3 |
C6H5Cl |
C6H5OH |
|
Nhiệt độ sôi |
110 oC |
132 oC |
182 oC |
Giải thích:
- Do có nhóm – OH trong phân tử nên phenol tạo ra liên kết hydrogen giữa các phân tử. Do vậy, phenol có nhiệt độ sôi cao hơn C6H5Cl (có phân tử khối tương đương).
- Do liên kết C – Cl phân cực nên C6H5Cl có nhiệt độ sôi cao hơn C6H5CH3 (có phân tử khối tương đương).
Hãy dẫn ra các phương trình hoá học để chứng minh rằng tính acid của phenol mạnh hơn của alcohol.
Gợi ý đáp án
Các phương trình hoá học chứng minh tính acid của phenol mạnh hơn tính acid của alcohol:
C6H5OH + NaOH → C6H5ONa + H2O
C2H5OH + NaOH → không phản ứng
C6H5OH + Na2CO3 ⇌ C6H5ONa + NaHCO3
C2H5OH + Na2CO3 → không phản ứng.
Trong các chất có công thức sau, chất nào có nhiệt độ sôi cao nhất?

Gợi ý đáp án
Chất có nhiệt độ sôi cao nhất là phenol. Do có nhóm – OH trong phân tử nên phenol tạo ra liên kết hydrogen giữa các phân tử, benzene và chlorobenzene không tạo được liên kết hydrogen giữa các phân tử.
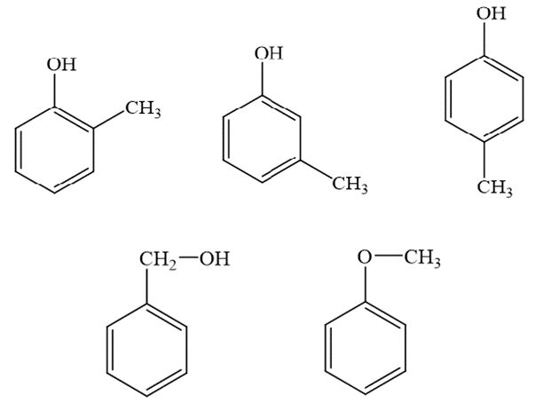
Hãy viết công thức cấu tạo các chất chứa vòng benzene có cùng công thức phân tử C7H8O.
Gợi ý đáp án

Các chất chứa vòng benzene có cùng công thức phân tử C7H8O:
Trình bày cách phân biệt các dung dịch sau: dung dịch phenol, dung dịch ethanol, dung dịch glycerol.
Gợi ý đáp án
Trích mẫu thử.
Cho từng mẫu thử tác dụng với dung dịch bromine.
+ Xuất hiện kết tủa trắng → dung dịch phenol.

+ Không có hiện tượng xuất hiện → dung dịch ethanol, dung dịch glycerol (nhóm I).
Cho lần lượt từng mẫu thử ở nhóm I tác dụng với Cu(OH)2.
+ Nếu kết tủa tan dần, thu được dung dịch có màu xanh đặc trưng → dung dịch glycerol.

+ Nếu không có hiện tượng xuất hiện → dung dịch ethanol.
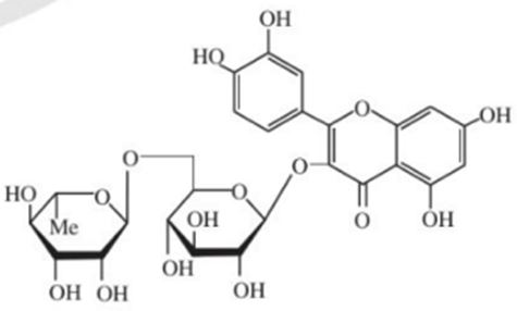
Rutin có nhiều trong hoa hòe. Rutin có tác dụng làm bền vững thành mạch, chống co thắt, chống phóng xạ tia X, chống viêm cầu thận cấp. Rutin có công thức phân tử C27H30O16 và công thức cấu tạo như bên:

a) Phân tử rutin có bao nhiêu nhóm –OH alcohol và bao nhiêu nhóm –OH phenol?
b) Có hai phương pháp tách rutin từ hoa hoè như sau:
- Phương pháp 1: Hoa hoè xử lí bằng dung dịch sodium hydroxyde. Lọc, acid hoá phần nước lọc, thu được rutin.
- Phương pháp 2: Chiết rutin từ hoa hoè bằng nước nóng sau đó để nguội, rutin sẽ tách ra.
Em hãy cho biết mỗi phương pháp trên đã dựa vào tính chất nào của rutin.
Gợi ý đáp án
a) Phân tử rutin có 6 nhóm –OH alcohol và 4 nhóm –OH phenol.
b) Phương pháp 1 dựa vào tính chất hoá học của rutin, tác dụng được với sodium hydroxide.
Phương pháp 2 dựa vào tính chất hoá học của rutin, tan nhiều trong nước nóng.
Theo Nghị định 147/2024/ND-CP, bạn cần xác thực tài khoản trước khi sử dụng tính năng này. Chúng tôi sẽ gửi mã xác thực qua SMS hoặc Zalo tới số điện thoại mà bạn nhập dưới đây: