Hỗ trợ tư vấn
Tư vấn - Giải đáp - Hỗ trợ đặt tài liệu
Mua gói Pro để tải file trên Download.vn (không bao gồm tài liệu cao cấp) và trải nghiệm website không quảng cáo
Tìm hiểu thêm »Đề thi Violympic Toán lớp 8 vòng 17 năm 2015 - 2016 có đáp án đi kèm, giúp các em học sinh lớp 8 ôn tập và củng cố kiến thức thật tốt, nhằm đạt kết quả cao trong các vòng tiếp theo của cuộc thi Violympic giải Toán qua mạng năm học 2015 - 2016. Mời các em cùng tham khảo nội dung chi tiết:
Câu 1.1: Tập hợp nghiệm của phương trình (x - 2)(3 - 2x) = 0 là:
a. {2; 2/3} b. (2; 3/2) c. {-2; -3/2} d. {2; 3/2}
Câu 1.2: Biết ΔABC đồng dạng với ΔMNP. Phát biểu nào sau đây là sai?
a. AC/AB = MP/NP
b. BC/AC = NP/MP
c. Góc M = Góc A
d. AC/MP = BC/NP
Câu 1.3: Cho ΔABC và ΔMNP có góc A = góc N và góc C = góc M thì kết luận nào sau đây là đúng?
a. ΔABC đồng dạng với ΔMNF
b. ΔABC đồng dạng với ΔMPN
c. ΔABC đồng dạng với ΔNPM
d. ΔABC đồng dạng NMP
Câu 1.4: Số giá trị của x thỏa mãn Ιx + 5Ι = x + 2 là .....
a. 2 b. 3 c. 0 d. 1
Câu 1.5: Một ô tô đi từ A đến B với vận tốc 25km/giờ. Lúc về từ B đến A người đó đi với vận tốc 30km/giờ. Thời gian đi và về là 3 giờ 40 phút. Độ dài quãng đường AB là:
a. 110km b. 50km c. 70km d. 90km
Câu 1.6: Với x nguyên, giá trị nhỏ nhất của biểu thức
là:
a. 0 b. -4 c. -6 d. 5
Câu 1.7: Giá trị nhỏ nhất của biểu thức A = Ιx2 + x + 1Ι + Ιx2 + 3x + 7Ι là:
a. 10 b. 8 c. 4 d. 6
Câu 1.8: Một tổ may dự định may mỗi ngày 50 áo. Nhưng khi thực hiện mỗi ngày may được 60 áo. Do đó đã hoàn thành trước thời hạn 2 ngày và còn làm thêm được 20 áo. Số lượng áo tổ may theo kế hoạch là:
a. 600 áo b. 500 áo c. 800 áo d. 700 áo
Câu 1.9: Dư của phép chia đa thức P(x) = x99 + x55 + x11 + x + 7 cho x2 - 1 là:
a. 6 b. 2x - 5 c. 4x + 7 d. 5x + 6
Câu 1.10: Tam giác ABC có AB = 12cm, AC = 14cm, BC = 16cm. Tia phân giác của góc ABC cắt AC tại M. Khi đó MC - MA =....
a. 2cm b. 4cm c. 0cm d. 3cm
Câu 2.1: Biết AB/CD = 5/4 và AB = 12,5cm. Vậy CD = ........cm.
Câu 2.2: Số nghiệm của phương trình (x2 + 1)(x2 + 4x + 4) = 0 là: .............
Câu 2.3: Cho tam giác ABC và tam giác MNP đồng dạng với nhau theo tỉ số 2/3. Biết chu vi tam giác ABC bằng 30cm. Vậy chu vi tam giác MNP là ...... cm.
Câu 2.4: Cạnh bé nhất của một tam giác vuông bằng 6cm, cạnh huyền có độ dài lớn hơn cạnh còn lại 2cm. Vậy độ dài cạnh huyền là .......cm.
Câu 2.5: Tìm x < 0 thỏa mãn: 
Câu 3.1: Tập nghiệm của phương trình x2 + 10x + 21 = 0 là {.......}
Câu 3.2: Tứ giác ABCD có góc A = 65o; góc B = 117o; góc C = 75o. Vậy số đo góc ngoài tại D là ........o.
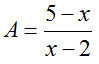
Câu 3.3: Số các giá trị của x để phân thức
có giá trị bằng 2 là .........
Câu 3.4: Phương trình x2 + y2 + 2x + 1 = 0 có nghiệm (x; y) = (.......)
Câu 3.5: Giá trị nhỏ nhất của biểu thức A = 2x2 + y2 - 2xy + 4x + 2y + 5 là ...........
Câu 3.6: Tìm k sao cho phương trình (2x + 1)(9x + 2k) - 5(x + 2) = 40 có nghiệm x = 2.
Câu 3.7: Số cặp số nguyên (x; y) thỏa mãn 2x2 + 3y2 + 4x = 19 là ........
Câu 3.8: Số nghiệm nguyên dương của phương trình x2 - 2y2 = 5 là ..........
Câu 3.9: Tìm x biết (x + 1)(x + 2)(x + 3)(x + 4) = 24
Câu 3.10: Biết xo; yo; zo là nghiệm nguyên dương của phương trình x2 + y2 + z2 = xy + 3y + 2x - 4. Khi đó xo + yo + zo = .....
Bài 1: Cóc vàng tài ba
Câu 1.1: d
Câu 1.2: a
Câu 1.3: c
Câu 1.4: c
Câu 1.5: b
Câu 1.6: b
Câu 1.7: d
Câu 1.8: d
Câu 1.9: c
Câu 1.10: a
Bài 2: Vượt chướng ngại vật
Câu 2.1: 10
Câu 2.2: 1
Câu 2.3: 45
Câu 2.4: 10
Câu 2.5: -1
Bài 3: Hãy điền số thích hợp vào chỗ chấm
Câu 3.1: -7 ; -3
Câu 3.2: 77
Câu 3.3: 1
Câu 3.4: -1; 0
Câu 3.5: -4
Câu 3.6: -3
Câu 3.7: 4
Câu 3.8: 0
Câu 3.9: -5; 0
Câu 3.10: 4
Theo Nghị định 147/2024/ND-CP, bạn cần xác thực tài khoản trước khi sử dụng tính năng này. Chúng tôi sẽ gửi mã xác thực qua SMS hoặc Zalo tới số điện thoại mà bạn nhập dưới đây: