Hỗ trợ tư vấn
Tư vấn - Giải đáp - Hỗ trợ đặt tài liệu
Mua gói Pro để tải file trên Download.vn (không bao gồm tài liệu cao cấp) và trải nghiệm website không quảng cáo
Tìm hiểu thêm »Sắp tới những vòng cuối cùng của cuộc thi giải Toán qua mạng năm học 2016 - 2017, đây cũng là quãng thời gian vô cùng căng thẳng và áp lực với các em. Với mong muốn giúp các em học sinh lớp 8 ôn tập thật tốt, Download.vn giới thiệu tới các em Đề thi Violympic Toán lớp 8 vòng 15 năm 2016 - 2017. Mời các em cùng tham khảo nội dung chi tiết dưới đây:
Câu 1: Trung bình cộng của năm số là 54. Trung bình cộng của hai số đầu tiên là 48. Giá trị trung bình cộng của ba số cuối là
A) 56
B) 55
C) 58
D) 57
Câu 2: Chiều dài một cạnh góc vuông của tam giác vuông là 5cm, chiều dài của cạnh huyền là 13cm thì diện tích tam giác vuông đó là ... cm2
Câu 3: Chữ số tận cùng của số 1919 + 9999 là:
A) 9
B) 8
C) 1
D) 2
Câu 4: Hình thang ABCD ( AD//BC, AD > BC) có diện tích là 164cm2. Biết đường cao của hình thang là 8cm, AB = 10cm, CD = 17cm. Khi đó độ dài của cạnh BC là:
A) 11cm
B) 13cm
C) 10cm
D) 12cm
Câu 5: Biểu thức rút gọn của
với (x ≠ 0; x - 2Y + 2 ≠ 0) là
A) ![]()
B) ![]()
C) ![]()
D) ![]()
Câu 1:

Câu 2: Cho hình bình hành ABCD. Một đường thẳng qua A cắt đoạn thẳng DB, DC theo thứ tự ở E và G. Biết DE/EB = 1/2 thì tỉ số DG/DC là:...
Câu 3: Hai cạnh bên AB và CD của hình thành ABCD kéo dài cắt nhau tại O. Biết AB = 10cm, CD = 15cm, OB = 8cm khi đó độ dài OC là... cm
Câu 4: Cho tam giác ABC có E là trung điểm của AC, D là trung điểm của BC. Gọi P là giao điểm của BE và AD. Biết AD = 18cm thì độ dài PD là... cm
Câu 5:

Câu 6:
![]()
Câu 7:

Câu 8:
![]()
Câu 9: Cho x và y thỏa mãn x + y = 2. Giá trị nhỏ nhất của biểu thức P = (1 + x4) (1 + y4) + 4(xy - 1)(3xy - 1) =...
Câu 10: Tam giác ABC có diện tích là 20cm2 và cạnh BC là 8cm. Đường cao tương ứng vối cạnh BC có độ dài là... cm
Câu 1: Cho B là một số khác 0, nếu A là 36% của B và C là 40% của B thì tỉ số A/C có giá trị là...
Câu 2: Số nghiệm của phương trình 8x - 3 = 8x + 2017 là...
Câu 3: Nếu xy = 2 và x2 + y2 = 5 thì x/y + y/x có giá trị là...
Câu 4: Nghiệm x > 0 của phương trình x2 - 6x + 9 = 49 là x =...
Câu 5: Biết tổng các góc ngoài của đa giác lồi n cạnh bằng hai lần tổng các góc trong thì giá trị của n là....
Câu 6: Cho tam giác ABC có AB = 8cm, AC = 15cm và BC = 17cm. Khi đó độ dài đường cao AH là... cm
Câu 7: Đa thức x4 + ax2 + 1 chia hết cho đa thức x2 + x + 1. Khi đó giá trị của a =...
Câu 8: Số nguyên dương x để biểu thức
có giá trị là một số nguyên là...
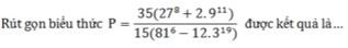
Câu 9:

Bài 1: Đi tìm kho báu
Câu 1: C
Câu 2: 30
Câu 3: B
Câu 4: C
Câu 5: A
Bài 2: Mười hai con giáp
| Câu 1: 1 Câu 2: 1/2 Câu 3: 12 Câu 4: 6 Câu 5: 1/6 |
Câu 6: 3 Câu 7: -1/2 Câu 8: 5 Câu 9: 4 Câu 10: 5 |
Bài 3: Đừng để điểm rơi
| Câu 1: 9/10 Câu 2: 0 Câu 3: 5/2 Câu 4: 10 Câu 5: 3 |
Câu 6: 120/17 Câu 7: 1 Câu 8: 5 Câu 9: -15 |
Theo Nghị định 147/2024/ND-CP, bạn cần xác thực tài khoản trước khi sử dụng tính năng này. Chúng tôi sẽ gửi mã xác thực qua SMS hoặc Zalo tới số điện thoại mà bạn nhập dưới đây: