Hỗ trợ tư vấn
Tư vấn - Giải đáp - Hỗ trợ đặt tài liệu
Mua gói Pro để tải file trên Download.vn (không bao gồm tài liệu cao cấp) và trải nghiệm website không quảng cáo
Tìm hiểu thêm »Đề thi Violympic Toán lớp 8 vòng 14 năm 2016 - 2017 đầy đủ, chính xác, bao gồm cả phần đáp án để các em học sinh lớp 7 ôn luyện, củng cố kiến thức của mình, chuẩn bị thật tốt cho những vòng thi Violympic tiếp theo. Mời các em cùng theo dõi:
Bài 1: Đừng để điểm rơi
Câu 1: Nếu xy + xz = 135 và y + z = 45 thì giá trị của x =...
Câu 2: Nghiệm của phương trình 3x - 10 = 0. Vậy x =... (Nhập kết quả dưới dạng phân số tối giản)
Câu 3: Số dư khi chia đa thức 25x2 - 9y2 cho 3y - 5x là:...
Câu 4: Cho hình chữ nhật ABCD có AB = 6cm, AC = 10cm thì diện tích hình chữ nhật ABCD là:... cm2
Câu 5:

Câu 6: Giá trị của x để đa thức A = 36x2 + 24x + 7 đạt giá trị nhỏ nhất là:...
Câu 7: Cho xyz = 60; (x + y)2 = 7 và x2 + y2 = 3 thì giá trị của z là:...
Câu 8: Với a, b là hai số tự nhiên khác 0, biết a/b = 132/143 và BCNN(a, b) = 1092 khi đó giá trị của a là:...
Câu 9:

Bài 2: Đập dế
Câu 1: Cho hình chữ nhật ABCD có AD = 7cm và diện tích của hình chữ nhật ABCD là 35cm2 khi đó độ dài đoạn thẳng AC là:
A) 9
B) 12
C) 2√6
D) √74
Câu 2: Một hình thoi có độ dài một cạnh là 10cm và độ dài một đường chéo là 16cm có diện tích là:
A) 24cm2
B) 128cm2
C) 64cm2
D) 96cm2
Câu 3: Cho hình chữ nhật PQRS có hai đường chéo PR và QS biết ∠PQS = 5x0; ∠RQS = 4x0 thì số đo của góc QSR là:
A) 300
B) 600
C) 400
D) 500
Câu 4: Tập hợp nghiệm của phương trình 4x2 = 1 là:
A) {1/2; -1/2}
B) -1/2
C) -1/2; 1/2
D) 1/2
Câu 5: Cho tứ giác ABCD có M, N, P, Q lần lượt là trung điểm của AB, BC, CD, DA. Tỉ số diện tích của hai tứ giác MNPQ và ABCD bằng:
A) 1/4
B) 1/8
C) 1/2
D) 1/16
Câu 6: Một đa giác có tổng số đo các góc trong gấp hao lần tổng số đo các góc ngoài thì số cạnh của đa giác đó là:
A) 7
B) 8
C) 5
D) 6
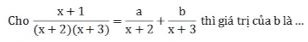
Câu 7:

A.![]()
B. ![]()
C) x + 1
D) x - 1
Câu 8:

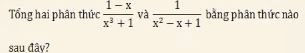
A. ![]()
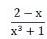
B.![]()
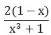
C.![]()
D.![]()
Câu 9: Một hình bình hành có hai cạnh kề bằng x và y, một góc bằng 450. Diện tích hình bình hành bằng:
A) xy√2
B) xy
C) xy/√2
D) xy/2√2
Câu 10: Diện tích lục giác đều có độ dài cạnh 2cm là:
A) 18√3cm2
B) 9√3/2 cm2
C) 54√3cm2
D) 27√3/2cm2
Bài 3: Mười hai con giáp
Câu 1: Cho tam giác ABC có diện tích 60cm2, gọi M, N lần lượt là trung điểm của BC và AC. Diện tích tam giác AMN là:... cm2.
Câu 2: Chữ số tận cùng của số 736 là:...
Câu 3: Giá trị nhỏ nhất của biểu thức là:...
Câu 4: Cho hình thang cân ABCD (AB//CD), đường cao AH. Biết AH = 6cm, HC = 10cm. Diện tích hình thanh ABCD là:... cm2.
Câu 5: Diện tích của một hình thang có hai đáy là 1cm và 6cm, đường cao hình thang bằng độ dài đường trung bình là:.. cm2.
Câu 6: Giá trị của x thỏa mãn đẳng thức -(x - 2) + (2 - x) = 2x + [ 2 - x - (22 - x)] là:...
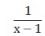
Câu 7:
Giá trị của biểu thức
là:...
Câu 8:
![]()
Câu 9: Một hình chữ nhật có diện tích 350cm2 và hai cạnh tỉ lệ với 2 và 7. Diện tích hình vuông có cùng chu vi với hình chữ nhật là ... cm2.
Bài 1: Đừng để điểm rơi
| Câu 1: 3 Câu 2: 10/3 Câu 3: 0 Câu 4: 48 Câu 5: 1 |
Câu 6: -1/3 Câu 7: 30 Câu 8: 84 Câu 9: 1/99 |
Bài 2: Đập dế
| Câu 1: D Câu 2: D Câu 3: D Câu 4: A Câu 5: C |
Câu 6: D Câu 7: C Câu 8: A Câu 9: C Câu 10: D |
Bài 3: Mười hai con giáp
| Câu 1: 15 Câu 2: 1 Câu 3: 5 Câu 4: 60 Câu 5: 12,25 |
Câu 6: 6
|
Theo Nghị định 147/2024/ND-CP, bạn cần xác thực tài khoản trước khi sử dụng tính năng này. Chúng tôi sẽ gửi mã xác thực qua SMS hoặc Zalo tới số điện thoại mà bạn nhập dưới đây: