Hỗ trợ tư vấn
Tư vấn - Giải đáp - Hỗ trợ đặt tài liệu
Mua gói Pro để tải file trên Download.vn (không bao gồm tài liệu cao cấp) và trải nghiệm website không quảng cáo
Tìm hiểu thêm »Đề thi Violympic Toán lớp 5 vòng 4 năm 2016 - 2017 là đề thi giải Toán qua mạng được sưu tầm và giới thiệu tới các em cùng quý thầy cô tham khảo, hi vọng giúp các em học sinh ôn tập và củng cố kiến thức, nhằm đạt kết quả cao trong các vòng tiếp theo của cuộc thi Violympic giải Toán qua mạng năm học 2016 - 2017.

Câu 1: Tích sau tận cùng là chữ số nào?
1 x 2 x 3 x 4 x 5 x 6 x 7 x 8 x ... x 1000
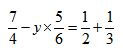
Câu 2: Tìm x biết: ![]()
Câu 3: Tính:![]()
Câu 4: Một đơn vị bộ đội chuẩn bị gạo cho 30 người ăn trong 15 ngày, mức ăn mỗi người trong một ngày là như nhau. Sau khi ăn được 3 ngày thì có 10 người chuyển đi nơi khác. Hỏi đơn vị đó ăn số gạo còn lại trong bao nhiêu ngày?
Câu 5: Mẹ sinh con năm mẹ 28 tuổi. Khi tuổi mẹ bằng bao nhiêu thì tuổi mẹ gấp 3 lần tuổi con?
Câu 6: Tổng hai phân số bằng
, phân số thứ nhất hơn phân số thứ hai là
. Tìm phân số thứ hai
Câu 7: Một cửa hàng chuẩn bị một số bánh nướng, bánh dẻo để bán nhân dịp Trung thu. Nếu mỗi ngày bán 120 cái thì sau 1 tuần 2 ngày hết hàng. Hỏi nếu mỗi ngày bán 180 cái thì sau bao nhiêu ngày hết hàng?
Câu 8: Một khu vườn hình chữ nhật có chiều dài hơn chiều rộng 72m. Nếu giảm mỗi chiều đi 12m thì lúc đó chiều rộng bằng 1/4 chiều dài. Tính diện tích khu vườn đó?
Câu 9: Trung bình cộng của hai phân số bằng 5/7. Nếu gấp phân số thứ nhất lên 2 lần thì trung bình cộng của chúng bằng 3/4. Tìm phân số thứ nhất?
Câu 10: Có 8 bi đỏ, 6 bi xanh, 9 bi vàng. Không nhìn vào hộp phải lấy ra ít nhất bao nhiêu nhiêu bi thì chắc chắn số bi lấy ra có đủ cả 3 màu bi?
Câu 11: Người ta phải cắt 12 đoạn dây thép mỗi đoạn 6m thành những đoạn dài 2m. Hỏi phải cắt mấy lần?
Câu 12: Khi chia A cho 124 ta được số dư là 10. Hỏi phải giảm A đi bao nhiêu đơn vị để phép chia trên trở thành phép chia hết và thương giảm đi 2 đơn vị?
Câu 13: Trung bình cộng hai số là 180. Số thứ nhất là số chẵn lớn nhất có hai chữ số. Tìm số thứ hai?
Câu 14: Hiệu hai phân số bằng
; phân số thứ nhất gấp 3 lần phân số thứ hai. Tìm phân số thứ nhất?
Câu 15: Từ các chữ số 0; 3; 2 lập được bao nhiêu chữ số có 3 chữ số khác nhau?
Câu 16: Một tấm biển quảng cáo hình chữ nhật có chiều dài 2m, chiều rộng 15dm. Tính số mét nhôm cần để viền xung quanh tấm biển đó?
Câu 17: Một trường tiểu học đã mua đủ gạo cho 500 học sinh bán trú ăn trong 30 ngày. Nếu có thêm 100 học sinh nữa xin học bán trú thì số gạo đã mua đủ ăn trong bao nhiêu ngày?
Câu 18: Một hình chữ nhật có chu vi 70cm. Chiều dài gấp rưỡi chiều rộng. Tính chiều dài hình chữ nhật đó?
Câu 19: Đội tuyển thi đấu thể thao của một trường tiểu học gồm 25 em thi đấu hai môn: cờ vua và cờ tướng. Trong đó, 17 em thi đấu cờ vua và 15 em thi đấu cờ tướng. Hỏi có bao nhiêu em thi đấu cả hai môn?
Câu 20: Hiệu hai số là 64. Tìm số bé biết số bé hơn 1/7 số lớn là 2?
Câu 21: Cho dãy số 16, 26, 36, 46, ..., 2016. Dãy số trên có bao nhiêu số hạng?
Câu 1: Trung bình cộng của tử số và mẫu số của một phân số bằng 16. Nếu gấp tử lên 3 lần thì phân số đó bằng 1. Tìm phân số đã cho?
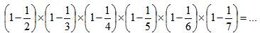
Câu 2: Tìm y biết: 
Câu 3: Có hai vòi chảy vào một bể nước. Nếu riêng vòi thứ nhất chảy 4 giờ thì đầy bể, riêng vòi thứ hai chảy 6 giờ thì đầy bể. Hỏi cả hai vòi cùng chảy hết bao nhiêu lâu thì đầy bể?
Câu 4: Trong một phép chia cho 42 được thương là số tự nhiên chẵn lớn nhất có 2 chữ số, số dư là số tự nhiên lẻ chia hết cho 3 và 5. Tìm số bị chia?
Câu 5: Trên một đoạn đường 1km, người ta trồng cây hai bên đường, cách 20m trồng 1 cây (ở hai đầu đường là đèn cao áp). Hỏi đoạn đường đó có bao nhiêu cây?
Câu 6: Trung bình cộng ba số bằng 15. Trong đó số thứ nhất hơn số thứ hai 15 đơn vị và kém số thứ ba 12 đơn vị. Tìm số thứ ba?
Câu 7: Hiệu hai số là 205. Số bé bằng 2/7 số lớn. Tìm số lớn?
Câu 8: Tổng hai số là 166. Nếu lấy số thứ nhất chia cho số thứ hai thì được thương là 3 dư 2. Tìm số thứ nhất?
Câu 9: Cho một số có hai chữ số. Nếu ta viết chữ số 2 vào bên trái số đó sẽ được số mới gấp 2 lần số đã cho. Tìm số đã cho?
Câu 10: Tìm số hạng tiếp theo của dãy số: 1/2; 1/4; 1/8; 1/16; ...
Câu 11: Tìm số thứ nhất biết số thứ nhất bằng 5/8 số thứ hai và nếu bớt số thứ hai đi 69 đơn vị thì ta được số thứ nhất?
Câu 12: Tổng của hai phân số là 7/6; phân số thứ nhất hơn phân số thứ hai là 1/3. Tìm phân số thứ nhất?
Câu 13: Một khu vườn hình chữ nhật có chu vi 540m. Nếu tăng chiều dài đồng thời giảm chiều rộng đi 8m thì lúc đó chiều dài bằng 5/4 chiều rộng. Tính diện tích khu vườn đó?
Câu 14: Hiệu hai số là 129. Nếu bớt số lớn đi 15, thêm vào số bé 20 thì số bé bằng 3/5 số lớn. Tìm số bé?
Câu 15: Có bao nhiêu số tự nhiên có hai chữ số mà chữ số hàng chục lớn hơn chữ số hàng đơn vị?
Câu 16: Chiều rộng của một khu đất hình chữ nhật A là 105m, bằng 7/12 chiều dài của nó. Hỏi chu vi của mảnh vườn B là bao nhiêu biết chu vi của mảnh vườn bằng 5/6 chu vi khu đất A?
Câu 17: Chu vi một khu đất hình chữ nhật là 270m. Chiều rộng bằng 2/7 chiều dài. Tính diện tích khu đất ấy?
Câu 18: Trung bình cộng ba số bằng 180. Số thứ nhất gấp rưỡi số thứ hai và bằng 3/5 số thứ ba. Tìm số thứ nhất?
Câu 19: Trong hộp có số bi màu vàng nhiều gấp 4 lần số bị màu đỏ. Biết số bi màu vàng nhiều hơn số bi màu đỏ là 75 viên. Hỏi trong hộp có tất cả bao nhiêu viên bi?
Câu 20: Tìm y là số tự nhiện biết y chia hết cho 9 và 172 < y < 136.
Câu 21: Cho dãy số 1; 3; 5; 7; ...; 1017. Dãy số trên có bao nhiêu chữ số?
Bài 1: Sắp xếp theo thứ tự tăng dần
11 < 1 < 7 < 14 < 15 < 4 < 8 < 20 < 17 < 2 < 6 < 13 < 5 < 9 < 3 < 18 < 16 < 19 < 10 < 12
Bài 2: Cóc vàng tài ba
Câu 1: 0 Câu 2: 5/7 Câu 3: 1/7 Câu 4: 18 Câu 5: 42
Câu 6: 77/40 Câu 7: 6 Câu 8: 3888 Câu 9: 1/14 Câu 10: 18
Câu 11: 24 Câu 12: 258 Câu 13: 262 Câu 14: 24/7
Câu 15: 4 Câu 16: 7 Câu 17: 25 Câu 18: 21
Câu 19: 7 Câu 20: 13 Câu 21: 201
Bài 3: Vượt chướng ngại vật
Câu 1: 8/24 Câu 2: 11/10 Câu 3: 12/5 Câu 4: 4131 Câu 5: 98
Câu 6: 163 Câu 7: 287 Câu 8: 125 Câu 9: 250 Câu 10: 1/32
Câu 11: 115 Câu 12: 3/4 Câu 13: 18176 Câu 14: 121 Câu 15: 45
Câu 16: 475 Câu 17: 3150 Câu 18: 162
Câu 19: 125 Câu 20: 135 Câu 21: 1418
Theo Nghị định 147/2024/ND-CP, bạn cần xác thực tài khoản trước khi sử dụng tính năng này. Chúng tôi sẽ gửi mã xác thực qua SMS hoặc Zalo tới số điện thoại mà bạn nhập dưới đây: