Hỗ trợ tư vấn
Tư vấn - Giải đáp - Hỗ trợ đặt tài liệu
Mua gói Pro để tải file trên Download.vn (không bao gồm tài liệu cao cấp) và trải nghiệm website không quảng cáo
Tìm hiểu thêm »Đề thi Violympic Toán lớp 5 vòng 3 năm 2016 - 2017 là đề thi giải Toán qua mạng được sưu tầm và giới thiệu tới các em cùng quý thầy cô tham khảo, hi vọng giúp các em học sinh ôn tập và củng cố kiến thức, nhằm đạt kết quả cao trong các vòng tiếp theo của cuộc thi Violympic giải Toán qua mạng năm học 2016 - 2017.

Câu 1: Tìm phân số bé nhất trong các phân số sau: 15/4; 11/6; 9/2; 14/5?
Câu 2: Một phần năm của số có năm chữ số cần tìm gấp ba lần số 1034. Tìm số đó?
Câu 3: May 20 cái áo như nhau hết 30m vải. Hỏi có 600m vải cùng loại thì may được bao nhiêu cái áo như thế?
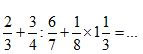
Câu 4: Tính
Câu 5: Số các số có 5 chữ số khác nhau chia hết cho cả 2 và 5 là:....
Câu 6: Hiệu hai số bằng 164. Nếu bớt ở mỗi số 15 đơn vị thì số thứ hai sẽ gấp 5 lần số thứ nhất. Tìm số thứ nhất?
Câu 7: Một miếng bìa hình thoi có độ dài đường chéo là 30cm và 40cm, có chu vi bằng chu vi hình vuông có cạnh 25cm. Hãy tính chiều cao miếng bìa hình thoi đó?
Câu 8: Một đơn vị chuyển hàng lên vùng cao. Nếu huy động xe chở 5 tấn một chuyến thì cần 40 xe. Hỏi nếu huy động loại xe chở 8 tấn một chuyến thì cần bao nhiêu xe để chở hết số hàng đó?
Câu 9: Khi nhân một số tự nhiên với 207, một học sinh sơ suất đã bỏ quên chữ số 0 của thừa số thứ hai nên tích tìm được kém tích đúng là 24120. Tìm số tự nhiên đó?
Câu 10: Cho số 592346182. Hãy xóa đi ba chữ số sao cho số tạo bởi các chữ số còn lại là số nhỏ nhất?
Câu 11: Diện tích một hình chữ nhật bằng 45m2, chiều rộng bằng 15dm. Tính chiều dài hình chữ nhật đó?
Câu 12: An mua 9 quyển vở hết 72000 đồng. Hỏi bạn Cường mua 11 quyển vở cùng loại sẽ phải trả nhiều hơn bao nhiêu tiền?
Câu 13: Tìm một số biết số đó chia 4 và chia 9 đều dư 2 và hai thương hơn kém nhau 340 đơn vị?
Câu 14: Trung bình cộng của hai phân số bằng 7/8. Nếu tăng phân số thứ nhất lến gấp 3 lần thì trung bình cộng của chúng bằng 17/8. Tìm phân số thứ hai?
Câu 15: Một đơn vị vận tải được giao chuyển một khối lượng hàng. Nếu huy động 24 xe thì mỗi xe chở 12 chuyến sẽ hết hàng. Hỏi nếu huy động 18 xe cùng loại thì mỗi xe phải chở tăng thêm bao nhiêu chuyến?
Câu 16: Tính:![]()
Câu 17: Tính:
Câu 18: Tổng hai số bằng 275, trong đó số bé bằng 4/7 số lớn. Tìm hiệu hai số?
Câu 19: Người ta viết liền nhau các số tự nhiên chẵn liên tiếp 2468101214... Hỏi chữ số thứ 2016 của dãy trên là chữ số nào?
Câu 20: Một năm trước, mẹ 40 tuổi và hơn con 35 tuổi. Hỏi sau mấy năm nữa thì tuổi mẹ hơn 5 lần tuổi con là 3 tuổi?
Câu 21: Hai năm nữa, con 9 tuổi, kém mẹ 32 tuổi. Hỏi cách đây mấy năm tuổi con bằng 1/9 tuổi mẹ?
Câu 22: Một miếng bìa hình thoi có độ dài các đường chéo là 10cm và 84cm. Người ta cắt miếng bìa này thành hai hình tam giác giống hệt nhau. Vậy diện tích mỗi hình tam giác là....
Câu 23: Xây 16m2 tường nhà hết 1000 viên gạch. Hỏi xây 224m2 tường nhà thì cần bao nhiêu viên gạch cùng loại?
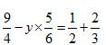
Câu 24: Tìm y thỏa mãn: 
Câu 1: Tìm số tự nhiên lớn nhất có 3 chữ số khác nhau và có tổng các chữ số bằng 14?
Câu 2: Hiệu hai số là 197. Nếu lấy số lớn chia cho số bé được thương là 6 dư 7. Tìm số lớn?
Câu 3: Một hình chữ nhật có chiều dài gấp 3 lần chiều rộng và diện tích là 108m2. Tính chu vi hình chữ nhật đó?
Câu 4: Tìm số có bốn chữ số khác nhau có dạng a35b biết số đó chia hết cho 45?
Câu 5: Tìm số abcde biết abcde x 9 = edcba
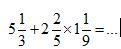
Câu 6: Tính![]()
Câu 7: Khi nhân một số tự nhiên với 439, do sơ suất nên một học sinh đã đặt các tích riêng thẳng cột như trong phép cộng nên tích tìm được giảm 117594. Tìm tích đúng của phép nhân đó?
Câu 8: Tìm hiệu hai số biết tổng hai số là số lớn nhất có 3 chữ số khác nhau và số bé bằng 1/2 số lớn?
Câu 9: Tìm y biết:
Câu 10: Trung bình cộng của hai phân số bằng
, phân số thứ hai hơn phân số thứ nhất là
. Tìm phân số thứ hai?
Câu 11: Hai lần chu vi một hình chữ nhật bằng bảy lần chiều dài của nó. Nếu thêm vào chiều rộng 5cm, giảm chiều dài 5cm thì hình chữ nhật trở thành hình vuông. Tính diện tích hình chữ nhật đó?
Câu 12: Mẹ sinh con năm mẹ 32 tuổi. Hỏi khi mẹ bao nhiêu tuổi thì 3 lần tuổi mẹ bằng 7 lần tuổi con?
Câu 13: Chu vi một hình chữ nhật bằng 360m. Nếu tăng chiều rộng và đồng thời giảm chiều dài đi 8m thì khi đó chiều dài bằng 7/2 lần chiều rộng. Tính diện tích khu đất đó?
Câu 14: Trung bình cộng của 3 số bằng 180 trong đó số thứ ba gấp rưỡi số thứ nhất và bằng 3/5 số thứ hai. Tìm số thứ hai?
Câu 15: Tìm số tự nhiên nhỏ nhất có 3 chữ số khác nhau mà tổng các chữ số của nó bằng 14?
Bài 1: Sắp xếp các giá trị theo thứ tự tăng dần
14 < 1 < 11 < 20 < 18 < 13 < 8 < 4 < 6 < 19 < 3 < 12 < 10 < 2 < 7 < 17 < 10 < 15 < 5 < 9
Bài 2: Cóc vàng tài ba
Câu 1: 11/6 Câu 2: 15510 Câu 3: 400 Câu 4: 1 Câu 5: 3024
Câu 6: 56 Câu 7: 24 Câu 8: 25 Câu 9: 134 Câu 10: 5; 9; 6
Câu 11: 300 Câu 12: 16000 Câu 13: 2450 Câu 14: 1/2 Câu 15: 4
Câu 16:
Câu 17: 41/24 Câu 18: 75 Câu 19: 4 Câu 20: 2
Câu 21: 3 Câu 22: 210 Câu 23: 14000 Câu 24: 7/4
Bài 3: Vượt chướng ngại vật
Câu 1: 950 Câu 2: 235 Câu 3: 48 Câu 4: 1350 Câu 5: 10989
Câu 6: 8 Câu 7: 122042 Câu 8: 329 Câu 9: 13/10 Câu 10: 147/40
Câu 11: 1200 Câu 12: 56 Câu 13: 4736 Câu 14: 270 Câu 15: 149
Theo Nghị định 147/2024/ND-CP, bạn cần xác thực tài khoản trước khi sử dụng tính năng này. Chúng tôi sẽ gửi mã xác thực qua SMS hoặc Zalo tới số điện thoại mà bạn nhập dưới đây: