Hỗ trợ tư vấn
Tư vấn - Giải đáp - Hỗ trợ đặt tài liệu
Mua gói Pro để tải file trên Download.vn (không bao gồm tài liệu cao cấp) và trải nghiệm website không quảng cáo
Tìm hiểu thêm »
SỞ GIÁO DỤC VÀ ĐÀO TẠO
|
KỲ THI TUYỂN SINH LỚP 10 THPT
|
Bài 1: (2 điểm)
Giải các phương trình và hệ phương trình sau:
a) 2x2 - x - 3 = 0
b) ![]()
c) x4 + x2 - 12 = 0
d) x2 - 2√2x - 7 = 0
Bài 2: (1,5 điểm)
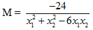
a) Vẽ đồ thị (P) của hàm số
và đường thẳng (D):
trên cùng một hệ trục toạ độ.
b) Tìm toạ độ các giao điểm của (P) và (D) ở câu trên bằng phép tính.
Bài 3: (1,5 điểm)
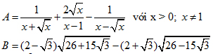
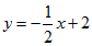
Thu gọn các biểu thức sau:
Bài 4: (1,5 điểm)
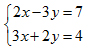
Cho phương trình x2 - mx + m - 2 = 0 (x là ẩn số)
a. Chứng minh rằng phương trình luôn luôn có 2 nghiệm phân biệt với mọi m.
b. Gọi x1, x2 là các nghiệm của phương trình.
Tìm m để biểu thức
đạt giá trị nhỏ nhất
Bài 5: (3,5 điểm)
Cho đường tròn (O) có tâm O và điểm M nằm ngoài đường tròn (O). Đường thẳng MO cắt (O) tại E và F (ME<MF). Vẽ cát tuyến MAB và tiếp tuyến MC của (O) (C là tiếp điểm, A nằm giữa hai điểm M và B, A và C nằm khác phía đối với đường thẳng MO).
a. Chứng minh rằng MA.MB = ME.MF
b. Gọi H là hình chiếu vuông góc của điểm C lên đường thẳng MO. Chứng minh tứ giác AHOB nội tiếp.
c. Trên nửa mặt phẳng bờ OM có chứa điểm A, vẽ nửa đường tròn đường kính MF; nửa đường tròn này cắt tiếp tuyến tại E của (O) ở K. Gọi S là giao điểm của hai đường thẳng CO và KF. Chứng minh rằng đường thẳng MS vuông góc với đường thẳng KC.
d. Gọi P và Q lần lượt là tâm đường tròn ngoại tiếp các tam giác EFS và ABS và T là trung điểm của KS. Chứng minh ba điểm P, Q, T thẳng hàng.
Download tài liệu để xem thêm chi tiết
Theo Nghị định 147/2024/ND-CP, bạn cần xác thực tài khoản trước khi sử dụng tính năng này. Chúng tôi sẽ gửi mã xác thực qua SMS hoặc Zalo tới số điện thoại mà bạn nhập dưới đây: