Hỗ trợ tư vấn
Tư vấn - Giải đáp - Hỗ trợ đặt tài liệu
Mua gói Pro để tải file trên Download.vn (không bao gồm tài liệu cao cấp) và trải nghiệm website không quảng cáo
Tìm hiểu thêm »
SỞ GIÁO DỤC VÀ ĐÀO TẠO
|
KỲ THI TUYỂN SINH LỚP 10 THPT
|
Bài 1: (2,0 điểm)
a) Cho biểu thức:
. Chứng tỏ: C = √3
b) Giải phương trình: ![]()
Bài 2: (2,0 điểm)
Cho hàm số y = x2 có đồ thị (P) và đường thẳng (d) đi qua điểm M (1;2) có hệ số góc k # 0.
a/ Chứng minh rằng với mọi giá trị k # 0. đường thẳng (d) luôn cắt (P) tại hai điểm phân biệt A và B.
b/ Gọi xA và xB là hoành độ của hai điểm A và B.Chứng minh rằng: xA + xB - xA.xB - 2 = 0
Bài 3: (2,0 điểm)
a/ Một xe lửa đi từ ga A đến ga B. Sau đó 1 giờ 40 phút, một xe lửa khác đi từ ga A đến ga B với vận tốc lớn hơn vận tốc của xe lửa thứ nhất là 5 km/h. Hai xe lửa gặp nhau tại một ga cách ga B 300 km. Tìm vận tốc của mỗi xe, biết rằng quãng đường sắt từ ga A đến ga B dài 645 km.
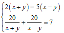
b/ Giải hệ phương trình: 
Bài 4: (3,0 điểm)
Cho nửa đường tròn (O) đường kính BC. Lấy điểm A trên tia đối của tia CB.Kẻ tiếp tuyến AF với nửa đường tròn (O) (F là tiếp điểm), tia AF cắt tia tiếp tuyến Bx của nửa đường tròn (O) tại D (tia tiếp tuyến Bx nằm trong nửa mặt phẳng bờ BC chứa nửa đường tròn (O)). Gọi H là giao điểm của BF với DO; K là giao điểm thứ hai của DC với nửa đường tròn (O).
a/ Chứng minh rằng: AO.AB = AF.AD.
b/ Chứng minh tứ giác KHOC nội tiếp.
c/ Kẻ OM vuông góc BC (M thuộc đoạn thẳng AD). Chứng minh ![]()
Bài 5: (1,0 điểm)
Cho hình chử nhật OABC, góc COB = 30o.Gọi CH là đường cao của tam giác COB, CH = 20 cm. Khi hình chữ nhật OABC quay một vòng quanh cạnh OC cố định ta được một hình trụ, khi đó tam giác OHC tạo thành hình (H).Tính thể tích của phần hình trụ nằm bên ngoài hình (H). (Cho π2 ~ 3,1416)

Download tài liệu để xem thêm chi tiết
Theo Nghị định 147/2024/ND-CP, bạn cần xác thực tài khoản trước khi sử dụng tính năng này. Chúng tôi sẽ gửi mã xác thực qua SMS hoặc Zalo tới số điện thoại mà bạn nhập dưới đây: