Hỗ trợ tư vấn
Tư vấn - Giải đáp - Hỗ trợ đặt tài liệu
Mua gói Pro để tải file trên Download.vn (không bao gồm tài liệu cao cấp) và trải nghiệm website không quảng cáo
Tìm hiểu thêm »
SỞ GIÁO DỤC VÀ ĐÀO TẠO
|
KỲ THI TUYỂN SINH LỚP 10 THPT
|
Câu 1 (2 điểm)
a) Giải phương trình 2x – 5 =1
b) Giải bất phương trình 3x – 1 > 5
Câu 2 (2 điểm)
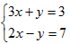
a) Giải hệ phương trình ![]()
b) Chứng minh rằng: ![]()
Câu 3 (2 điểm)
Cho phương trình x2 – 2(m – 3)x – 1 = 0
a. Giải phương trình khi m = 1
b. Tìm m để phương trình có nghiệm x1; x2 mà biểu thức A = x12 – x1x2 + x22 đạt giá trị nhỏ nhất? Tìm giá trị nhỏ nhất đó.
Câu 4 (3 điểm)
Cho tam giác ABC vuông tại A. Lấy B làm tâm vẽ đường tròn tâm B bán kính AB.Lấy C làm tâm vẽ đường tròn tâm C bán kính AC, hai đường tròn này cắt nhau tại điểm thứ 2 là D.Vẽ AM, AN lần lượt là các dây cung của đường tròn (B) và (C) sao cho AM vuông góc với AN và D nằm giữa M; N.
a. Chứng minh rằng: ΔABC = ΔDBC
b. Chứng minh rằng: ABDC là tứ giác nội tiếp.
c. Chứng minh rằng: ba điểm M, D, N thẳng hàng
d. Xác định vị trí của các dây AM; AN của đường tròn (B) và (C) sao cho đoạn MN có độ dài lớn nhất.
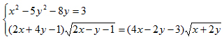
Câu 5 (1 điểm)
Giải Hệ phương trình: 
Download tài liệu để xem thêm chi tiết
Theo Nghị định 147/2024/ND-CP, bạn cần xác thực tài khoản trước khi sử dụng tính năng này. Chúng tôi sẽ gửi mã xác thực qua SMS hoặc Zalo tới số điện thoại mà bạn nhập dưới đây: