Đề thi tuyển sinh lớp 10 THPT tỉnh Ninh Thuận năm học 2012 - 2013 môn Toán - Có đáp án Sở GD&ĐT Ninh Thuận

SỞ GIÁO DỤC VÀ ĐÀO TẠO
NINH THUẬN

ĐỀ THI CHÍNH THỨC

KỲ THI TUYỂN SINH LỚP 10 THPT
NĂM HỌC 2012-2013

MÔN: TOÁN
Thời gian làm bài: 120 phút (không kể thời gian phát đề)
Khóa ngày: 24 – 6 – 2012

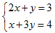
Bài 1: (2,0 điểm)

a. Giải hệ phương trình:

b. Xác định các giá trị của m để hệ phương trình sau vô nghiệm: (m là tham số)

Bài 2: (3,0 điểm)

Cho hai hàm số y = x2 và y = x + 2.

a. Vẽ đồ thị hai hàm số đã cho trên cùng một hệ trục tọa độ Oxy.

b. Bằng phép tính hãy xác định tọa độ các giao điểm A, B của hai đồ thị trên (điểm A có hoành độ âm).

c. Tính diện tích của tam giác OAB (O là gốc tọa độ)

Bài 3: (1,0 điểm)

Tính giá trị của biểu thức:

Bài 4: (3,0 điểm)

Cho đường tròn tâm O, đường kính AC = 2R. Từ một điểm E ở trên đoạn OA (E không trùng với A và O). Kẻ dây BD vuông góc với AC. Kẻ đường kính DI của đường tròn (O).

a. Chứng minh rằng: AB = CI.

b. Chứng minh rằng: EA2 + EB2 + EC2 + ED2 = 4R2

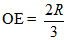
c. Tính diện tích của đa giác ABICD theo R khi

Bài 5: (1,0 điểm)

Cho tam giác ABC và các trung tuyến AM, BN, CP. Chứng minh rằng:

Download tài liệu để xem thêm chi tiết

Chia sẻ bởi: 👨 Nguyễn Thu Ngân
Liên kết tải về
Tìm thêm: Toán 10
Xác thực tài khoản!

Theo Nghị định 147/2024/ND-CP, bạn cần xác thực tài khoản trước khi sử dụng tính năng này. Chúng tôi sẽ gửi mã xác thực qua SMS hoặc Zalo tới số điện thoại mà bạn nhập dưới đây:

Số điện thoại chưa đúng định dạng!
Số điện thoại này đã được xác thực!
Bạn có thể dùng Sđt này đăng nhập tại đây!
Lỗi gửi SMS, liên hệ Admin
Sắp xếp theo
👨
Đóng
Chỉ thành viên Download Pro tải được nội dung này! Download Pro - Tải nhanh, website không quảng cáo! Tìm hiểu thêm
Nhắn tin Zalo