Hỗ trợ tư vấn
Tư vấn - Giải đáp - Hỗ trợ đặt tài liệu
Mua gói Pro để tải file trên Download.vn (không bao gồm tài liệu cao cấp) và trải nghiệm website không quảng cáo
Tìm hiểu thêm »
SỞ GD & ĐT ĐỒNG THÁPTrường THPT Nguyễn Quang Diêu |
ĐỀ THI THỬ TUYỂN SINH ĐẠI HỌC NĂM 2014 LẦN 1
|
I. PHẦN CHUNG CHO TẤT CẢ THÍ SINH (7,0 điểm)
Câu 1 (2,0 điểm). Cho hàm số y = -x3 + 3x2 + 3m(m + 2)x + 1 (1), với m là tham số thực.
a) Khảo sát sự biến thiên và vẽ đồ thị của hàm số (1) khi m = 0.
b) Tìm m để đồ thị hàm số (1) có hai điểm cực trị đối xứng nhau qua điểm I(1; 3)
Câu 2 (1,0 điểm). Giải phương trình: cosx + tanx = 1 + tanxsinx
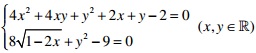
Câu 3 (1,0 điểm). Giải hệ phương trình
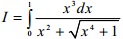
Câu 4 (1,0 điểm). Tính tích phân![]()
Câu 5 (1,0 điểm).
Cho hình lăng trụ ABCD.A'B'C'D' có đáy ABCD là hình vuông cạnh a, cạnh bên AA' = a, hình chiếu vuông góc của A' trên mặt phẳng (ABCD) trùng với trung điểm I của AB. Gọi K là trung điểm của BC. Tính theo a thể tích khối chóp A'.IKD và khoảng cách từ I đến mặt phẳng (A'KD).
Câu 6 (1,0 điểm). Cho các số thực dương x, y, z thỏa mãn x + y + z ≤ 3/2. Tìm giá trị nhỏ nhất của biểu thức:![]()
II. PHẦN RIÊNG (3,0 điểm): Thí sinh chỉ được làm một trong hai phần (phần A hoặc B)
A. Theo chương trình Chuẩn
Câu 7.a (1.0 điểm). Trong mặt phẳng với hệ trục tọa độ (Oxy), cho hình chữ nhật ABCD có đường chéo AC: x + 2y - 9 = 0. Điểm M(0; 4) nằm trên cạnh BC. Xác định tọa độ các đỉnh của hình chữ nhật đã cho biết rằng diện tích của hình chữ nhật đó bằng 6, đường thẳng CD đi qua N(2; 8) và đỉnh C có tung độ là một số nguyên.
Câu 8.a (1.0 điểm). Trong không gian với hệ tọa độ Oxyz, cho mặt phẳng (P): x + y + z + 3 = 0 và hai điểm A(3; 1; 1), B(7; 3; 9). Tìm trên mặt phẳng (P) điểm M sao cho
đạt giá trị nhỏ nhất.
Câu 9.a (1.0 điểm). Trong một chiếc hộp có 6 viên bi đỏ, 5 viên bi vàng và 4 viên bi trắng. Lấy ngẫu nhiên trong hộp ra 4 viên bi. Tính xác suất để trong 4 bi lấy ra không có đủ cả ba màu.
B. Theo chương trình Nâng cao
Câu 7.b (1.0 điểm). Trong mặt phẳng với hệ trục tọa độ (Oxy), cho hình chữ nhật ABCD. Hai điểm B, C thuộc trục tung. Phương trình đường chéo AC: 3x + 4y - 16 = 0. Xác định tọa độ các đỉnh của hình chữ nhật đã cho biết rằng bán kính đường tròn nội tiếp tam giác ACD bằng 1.
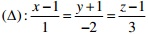
Câu 8.b (1.0 điểm). Trong không gian với hệ tọa độ Oxyz, cho đường thẳng
và hai điểm A(2; 1; 1); B(1; 1; 0). Tìm điểm M thuộc (Δ) sao cho tam giác AMB có diện tích nhỏ nhất.
Câu 9.b (1.0 điểm). Giải hệ phương trình:![]()
Download tài liệu để xem chi tiết.
Theo Nghị định 147/2024/ND-CP, bạn cần xác thực tài khoản trước khi sử dụng tính năng này. Chúng tôi sẽ gửi mã xác thực qua SMS hoặc Zalo tới số điện thoại mà bạn nhập dưới đây: