Hỗ trợ tư vấn
Tư vấn - Giải đáp - Hỗ trợ đặt tài liệu
Mua gói Pro để tải file trên Download.vn (không bao gồm tài liệu cao cấp) và trải nghiệm website không quảng cáo
Tìm hiểu thêm »
SỞ GIÁO DỤC & ĐÀO TẠO BẮC NINH
|
ĐỀ THI THỬ ĐẠI HỌC LẦN 1 NĂM 2013 - 2014
|
PHẦN CHUNG CHO TẤT CẢ CÁC THÍ SINH (8.0 điểm):
Câu I (2.0 điểm). Cho hàm số y = x3 – 3x2 + 2 có đồ thị (C).
1/ Khảo sát sự biến thiên và vẽ đồ thị (C) của hàm số.
2/ Đường thẳng (d) đi qua A(3; 2) và có hệ số góc k. Tìm k để đường thẳng (d) cắt đồ thị (C) tại ba điểm phân biệt A, M, N sao cho tiếp tuyến của (C) tại M và N vuông góc với nhau.
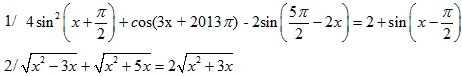
Câu II (2.0 điểm). Giải các phương trình sau:

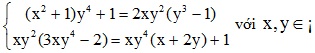
Câu III (1 điểm). Giải hệ phương trình:

Câu IV (2.0 điểm). Cho hình chóp S.ABCD có đáy là hình chữ nhật; độ dài cạnh AB = a; BC = a√2. Các cạnh bên bằng nhau và bằng 2a. Gọi M, N tương ứng là trung điểm các cạnh AD và BC, K là điểm trên AD sao cho
.
a/ Tính thể tích hình chóp S.ABCD theo a.
b/ Tính khoảng cách và góc giữa hai đường thẳng MN và SK.
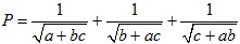
Câu V (1.0 điểm). Cho ba số thực dương a, b, c thỏa mãn a + b + c = 1. Tìm giá trị nhỏ nhất của biểu thức:![]()
PHẦN RIÊNG (2.0 điểm): Thí sinh chỉ được làm một trong hai phần (phần A hoặc B)
A. Theo chương trình Chuẩn:
Câu VI.a (1.0 điểm).
Trong mặt phẳng với hệ tọa độ Oxy, lập phương trình đường thẳng d đi qua M(2; 3) và cắt Ox tại A(a; 0), cắt Oy tại B(0; b) sao cho tam giác OAB có diện tích bằng 16, biết a và b dương.
Câu VII.a (1.0 điểm). Tìm số hạng chứa x6 trong khai triển thành đa thức của nhị thức
. Biết n thỏa mãn:![]()
B. Theo chương trình Nâng cao:
Câu VI.b (1.0 điểm).
Trong mặt phẳng với hệ tọa độ Oxy, cho 3 điểm M(1; 1), N(-2, 2), P(2, -2). Tìm tọa độ các đỉnh của hình vuông ABCD biết M là giao điểm 2 đường chéo của hình vuông, đường thẳng AB đi qua N và đường thẳng CD đi qua P.
Câu VII.b (1.0 điểm). Tìm m để phương trình có nghiệm duy nhất.
![]()
Download tài liệu để xem chi tiết.
Theo Nghị định 147/2024/ND-CP, bạn cần xác thực tài khoản trước khi sử dụng tính năng này. Chúng tôi sẽ gửi mã xác thực qua SMS hoặc Zalo tới số điện thoại mà bạn nhập dưới đây: