Hỗ trợ tư vấn
Tư vấn - Giải đáp - Hỗ trợ đặt tài liệu
Mua gói Pro để tải file trên Download.vn (không bao gồm tài liệu cao cấp) và trải nghiệm website không quảng cáo
Tìm hiểu thêm »
SỞ GIÁO DỤC & ĐÀO TẠO BẮC NINH
|
ĐỀ THI THỬ ĐẠI HỌC LẦN 1 NĂM 2013 - 2014
|
Câu 1 (2 Điểm): Cho hàm số: y = x3 - m2x2 - 3x + m (Cm)
a, Khảo sát sự biến thiên và vẽ đồ thị hàm số với m = 0
b, Gọi A là điểm trên (Cm) và có hoành độ bằng -1. Tìm m để tiếp tuyến của (Cm) tại A song song với đường thẳng d: y = 2x + 2.
Câu 2 (1 Điểm): Giải phương trình lượng giác:
sin2x - cos2x - 2 = sinx - 3cosx
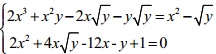
Câu 3 (1 Điểm): Giải hệ phương trình:
Câu 4 (1 Điểm): Tìm m để phương trình sau có đúng 1 nghiệm x < 1:![]()
Câu 5 (1 Điểm):
Cho hình chóp S.ABCD, đáy ABCD là hình chữ nhật, AB = 2AD = 2a. Mặt bên SAB là tam giác vuông tại S và vuông góc với mặt phẳng (ABCD). Góc giữa SA với mặt phẳng (ABCD) bằng 60o. Gọi M là trung điểm của SC. Tính thể tích khối chóp S.ABCD và khoảng cách giữa SB và DM.
Câu 6 (1 Điểm): Cho x, y, z là 3 số thực không âm thoả mãn: ![]()
Tìm giá trị lớn nhất của biểu thức: P = 2x3 + y3 + z3
Câu 7 (1 Điểm):
Trong mặt phẳng toạ độ Oxy, cho tam giác ABC có diện tích bằng 9/2. Các đỉnh A, B, C lần lượt nằm trên các đường thẳng d1: x + y – 2 = 0; d2: 2x – y – 4 = 0; d3: x – y – 3 = 0. Gọi E, F là 2 điểm lần lượt nằm trên các cạnh AB và AC sao cho AB = 3AE; AC = 3CF. Đường thẳng EF cắt đường thẳng BC tại điểm P(-4; -8).
Tìm toạ độ các đỉnh của tam giác ABC.
Câu 8 (1 Điểm):
Trong mặt phẳng toạ độ Oxy, cho đường thẳng d: x – y = 0. Viết phương trình đường tròn (C) qua điểm M(2; 0) và tiếp xúc với d tại O(0;0).
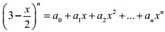
Câu 9 (1 Điểm): Cho khai triển: ![]()
Biết rằng: a0 + 2a1 + 4a2 + .... + 2nan = 1024. Tìm a6
Download tài liệu để xem chi tiết.
Theo Nghị định 147/2024/ND-CP, bạn cần xác thực tài khoản trước khi sử dụng tính năng này. Chúng tôi sẽ gửi mã xác thực qua SMS hoặc Zalo tới số điện thoại mà bạn nhập dưới đây: