Hỗ trợ tư vấn
Tư vấn - Giải đáp - Hỗ trợ đặt tài liệu
Mua gói Pro để tải file trên Download.vn (không bao gồm tài liệu cao cấp) và trải nghiệm website không quảng cáo
Tìm hiểu thêm »
Trường THPT chuyên
|
ĐỀ THI THỬ ĐẠI HỌC VÀ CAO ĐẲNG NĂM 2014 LẦN 1
|
I. PHẦN CHUNG CHO TẤT CẢ THÍ SINH (7,0 điểm)
Câu 1 (2 điểm) Cho hàm số y = -2x3 + 6x + 2 có đồ thị là (C).
1) Khảo sát sự biến thiên và vẽ đồ thị (C) của hàm số.
2) Tìm m để đường thẳng d: y = 2mx - 2m + 6 cắt đồ thị (C) tại ba điểm phân biệt A, B, C sao cho tổng hệ số góc của các tiếp tuyến với (C) tại A, B, C bằng - 6.
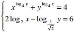
Câu 2 (1 điểm) Giải phương trình
![]()
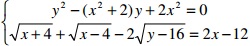
Câu 3 (1 điểm) Giải hệ phương trình
![]()
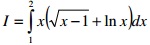
Câu 4 (1 điểm) Tính tích phân
![]()
Câu 5 (1 điểm) Cho hình chóp S.ABCD có đáy ABCD là hình chữ nhật tâm I với AB = 2a√a, BC = 2a. Biết chân đường cao H hạ từ đỉnh S xuống đáy ABCD trùng với trung điểm DI và SB hợp với đáy ABCD một góc 60o. Tính thể tích khối chóp S.ABCD và khoảng cách từ H đến (SBC)
Câu 6 (1 điểm) Cho các số thực x, y với x2 + y2 = 1. Tìm giá trị nhỏ nhất của biểu thức P = x6 + 4y6
PHẦN RIÊNG (3,0 điểm): Thí sinh chỉ được làm một trong hai phần (phần A hoặc phần B)
A. Theo chương trình Chuẩn
Câu 7.a (1,0 điểm) Trong mặt phẳng toạ độ Oxy, cho tam giác ABC với A(3; 0), đường cao từ đỉnh B có phương trình x + y + 1 = 0, trung tuyến từ đỉnh C có phương trình 2x - y - 2 = 0. Viết phương trình đường tròn ngoại tiếp tam giác ABC.
Câu 8.a (1,0 điểm) Trong không gian Oxyz cho A(3; 1; 1); B(5; 0; 1) và C(1; - 2; -1). Tìm điểm M thuộc mặt phẳng (Oxy) sao cho AB ⊥ MC và diện tích tam giác ABM bằng 3/2.
Câu 9.a (1,0 điểm) Tìm các số hạng là số nguyên trong khai triển nhị thức
với n là số tự nhiên.
B. Theo chương trình Nâng cao
Câu 7.b (1,0 điểm) Trong mặt phẳng toạ độ Oxy, cho đường tròn (C): x2 + y2 - 4x - 6y + 3 = 0 có tâm là I và đường thẳng d: x - 2y - 11 = 0. Tìm hai điểm A và B trên đường tròn (C) sao cho AB song song với đường thẳng d và tam giác IAB là tam giác vuông cân.
Câu 8.b (1,0 điểm) Trong không gian Oxyz, cho tứ diện ABCD, biết B(-1; 0; 2); C(-1; 1; 0); D(2; 1; -2), vectơ OA cùng phương với vectơ u(0; 1; 1) và thể tích tứ diện ABCD bằng 5/6. Tìm tọa độ điểm A .
Câu 9.b (1,0 điểm) Giải hệ phương trình

Download tài liệu để xem chi tiết.
Theo Nghị định 147/2024/ND-CP, bạn cần xác thực tài khoản trước khi sử dụng tính năng này. Chúng tôi sẽ gửi mã xác thực qua SMS hoặc Zalo tới số điện thoại mà bạn nhập dưới đây: