Đề thi khảo sát chất lượng đầu năm môn Toán lớp 12 - Trường THPT chuyên ĐH Vinh Có đáp án

TRƯỜNG ĐẠI HỌC VINH
TRƯỜNG THPT CHUYÊN

ĐỀ THI CHÍNH THỨC

ĐỀ THI KHẢO SÁT CHẤT LƯỢNG ĐẦU NĂM
NĂM HỌC 2012 - 2013

MÔN THI: TOÁN - LỚP 12
Thời gian làm bài: 120 phút (không kể thời gian giao đề)

Câu 1. (3 điểm)

Cho hàm số có đồ thị (C).

a, Tìm điểm M thuộc (C) biết hoành độ của nó thoả mãn phương trình: y"(x) = 2

b, Viết phương trình tiếp tuyến với đồ thị (C) tại điểm M tìm được ở câu a.

Câu 2. (2 điểm)

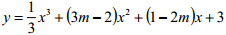
a. (1 điểm) Cho hàm số , m là tham số. Tìm m để hàm số đạt cực tiểu tại điểm x = 1 .

b. (1 điểm) Tìm giá trị lớn nhất, giá trị nhỏ nhất của hàm số

Câu 3. (1 điểm)

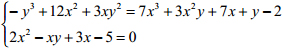
Giải hệ phương trình:

Câu 4. (3 điểm)

Cho hình chóp tứ giác đều S.ABCD có cạnh bên gấp 3 lần cạnh đáy.

a. Cho AB = a√2. Tính khoảng cách giữa hai đường thẳng AD và SC.

b. Gọi M là trung điểm AB. Tính góc giữa hai đường thẳng SA và CM.

Câu 5. (1 điểm)

Cho hình lăng trụ tam giác ABC. A’B’C’ có đáy là tam giác đều, cạnh bên bằng a và tạo với đáy một góc 60o. Gọi D là trung điểm cạnh CC’. Biết rằng hình chiếu vuông góc của A’ lên mặt phẳng (ABC) trùng với trọng tâm tam giác ABC. Tính thể tích khối tứ diện ABCD.

Download tài liệu để xem thêm chi tiết.

Chia sẻ bởi:
Liên kết tải về
Tìm thêm: Toán 12
Xác thực tài khoản!

Theo Nghị định 147/2024/ND-CP, bạn cần xác thực tài khoản trước khi sử dụng tính năng này. Chúng tôi sẽ gửi mã xác thực qua SMS hoặc Zalo tới số điện thoại mà bạn nhập dưới đây:

Số điện thoại chưa đúng định dạng!
Số điện thoại này đã được xác thực!
Bạn có thể dùng Sđt này đăng nhập tại đây!
Lỗi gửi SMS, liên hệ Admin
Sắp xếp theo
👨
Đóng
Chỉ thành viên Download Pro tải được nội dung này! Download Pro - Tải nhanh, website không quảng cáo! Tìm hiểu thêm
Nhắn tin Zalo