Hỗ trợ tư vấn
Tư vấn - Giải đáp - Hỗ trợ đặt tài liệu
Mua gói Pro để tải file trên Download.vn (không bao gồm tài liệu cao cấp) và trải nghiệm website không quảng cáo
Tìm hiểu thêm »
SỞ GIÁO DỤC VÀ ĐÀO TẠO
|
KỲ THI CHỌN HỌC SINH GIỎI CẤP TỈNH GIẢI TOÁN
|
Bài 1: (2,0 điểm)
Cho hàm số y = f(x) = ax3 + bx2 + cx + d có đồ thị đi qua các điểm A(-4; 4); B(7; 6); C(-5; 7); D(0; 1)
a) Hãy tính các giá trị a, b, c, d.
b) Tính gần đúng khoảng cách giữa hai điểm cực trị của hàm số với a, b, c, d tìm được.
Bài 2: (2,0 điểm)
Một chất phóng xạ theo thời gian sẽ bị phân hủy tự nhiên. Công thức tính khối lượng chất phóng xạ Cacbon 14C còn lại sau thời gian t năm là với mo là khối lượng cacbon lúc ban đầu. Người ta tìm trong một mẫu đồ cổ có một lượng Cacbon và xác định được nó đã mất đi 15% lượng Cacbon ban đầu của nó. Hỏi mẫu đồ cổ đó có tuổi khoảng bao nhiêu năm?
Bài 3: (2,0 điểm)
Tìm nghiệm gần đúng (độ, phút, giây) của phương trình: 6√2.sin(x + 45o) - 5sin2x - 4 = 0
Bài 4: (2,0 điểm)
Cho dãy số (un) có các số hạng như sau: ![]()
a) Tìm số hạng thứ 10 và số hạng thứ 30 của dãy.
b) Tính tổng 30 số hạng đầu tiên của dãy.
Bài 5: (2,0 điểm)
Tính gần đúng các nghiệm của phương trình:
Bài 6: (2,0 điểm)
Cho tam giác ABC cân tại A nội tiếp trong đường tròn bán kính R = 2013. Tìm giá trị lớn nhất của đường cao hB kẻ từ B của tam giác ABC.
Bài 7: (2,0 điểm)
Trên mặt phẳng Oxy cho AB: x + y - 1 = 0; BC: 2x - y + 1 = 0; AC: x + 7y - 13 = 0. Tính góc B (độ, phút, giây) và diện tích của tam giác ABC.
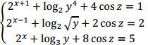
Bài 8: (2,0 điểm)
Giải hệ phương trình:
Bài 9: (2,0 điểm)
Tính thể tích khối tứ diện ABCD biết: AB = BC = CD = DB = AC = 2; AD = √2
Bài 10 (2,0 điểm)
Một sợi dây điện VC30 thiết diện là hình tròn có đường kính kể cả vỏ bọc là 5mm chiều dài và một Rulo có dạng hình trụ đường kính 17,5cm, chiều dài 8,25cm (hình vẽ). Người ta quấn chặt sợi dây điện vào Rulo khít với nhau theo từng lớp, hết lớp trong ra lớp ngoài. Giả sử số vòng dây ở mỗi lớp đều bằng nhau. Tính gần đúng số lớp và số vòng dây quấn trên Rulo.
.
Câu 1. (2,0 điểm)
Một loài vi khuẩn hình cầu có khối lượng khoảng 5.10-13 gam. Khi nuôi cấy 5.10-11 gam vi khuẩn trong môi trường nuôi cấy sau 4 giờ đạt tới khối lượng là 2,56.10-8 gam.
a. Xác định thời gian thế hệ (g) của loài vi khuẩn này?
b. Nếu 1/5 số tế bào ban đầu bị chết thì sau 4 giờ nuôi cấy sẽ thu được bao nhiêu gam vi khuẩn? Biết rằng loài vi khuẩn này phát triển có trải qua pha lag là 1 giờ.
Câu 2. (2,0 điểm)
Một hợp tử của một loài nguyên phân cho 4 tế bào A, B, C và D:
- Tế bào A nguyên phân một số đợt liên tiếp cho các tế bào con. Số tế bào con bằng số NST đơn trong bộ NST lưỡng bội của loài.
- Tế bào B nguyên phân cho các tế bào con với tổng số NST đơn gấp 4 lần số NST đơn của một tế bào.
- Các tế bào C và D đều nguyên phân cho các tế bào con với tổng số 32 NST đơn. Tất cả các tế bào con được hình thành nói trên có 128 NST đơn ở trạng thái chưa nhân đôi.
a. Xác định bộ NST lưỡng bội của loài?
b. Tính số đợt phân bào nguyên phân liên tiếp của mỗi tế bào A, B, C, D.
Câu 3. (2,0 điểm)
Một gen B đột biến mất đi một đoạn gồm 2 mạch bằng nhau, phần còn lại gọi là gen b. Đoạn bị mất mã hóa 1 chuỗi pôlipeptid gồm 300 axit amin. Đoạn còn lại có A = 20%, đoạn bị mất có A = 30% số nuclêôtit của đoạn. Khi gen B và b tự nhân đôi 1 lần chúng cần 58200 nuclêôtit tự do của môi trường cung cấp.
a. Xác định chiều dài của gen B và b.
b. Tính số nuclêôtit mỗi loại trong gen B.
Câu 4. (2,0 điểm)
Do đột biến cơ thể 2n trở thành 4n cho cây F1 4n tự thụ phấn được F2 gồm 5 loại kiểu hình phân li theo tỉ lệ: 1/36 cây cao 120cm; 8/36 cây cao 115cm; 18/36 cây cao 110cm; 8/36 cây cao 105cm; 1/36 cây thấp 100cm.
a. Hãy biện luận và viết sơ đồ lai đến F2
b. Cây có chiều cao 115cm lai phân tích kết quả thế hệ sau như thế nào?
Câu 5. (2,5 điểm)
Ở một quần thể thực vật, thấy rằng gen A qui định hoa màu đỏ, alen a qui định hoa màu trắng. Quần thể khởi đầu có cấu trúc P: 350AA : 140Aa : 910aa. Hãy xác định tỉ lệ kiểu gen kiểu hình của quần thể ở thế hệ F3 trong hai trường hợp sau:
1. Các cá thể trong quần thể tự thụ phấn.
2. Các cá thể trong quần thể giao phấn.
Biết không có đột biến, các cá thể đều sống và phát triển bình thường.
Câu 6. (2,0 điểm)
Quần thể ngẫu phối ban đầu có cấu trúc: P: 100 AA + 100 Aa + 100aa
Dưới áp lực chọn lọc giá trị thích nghi của các kiểu gen AA ; Aa ; aa tương ứng là 1,0 ; 0,8 ; 0,3. Hãy tính tần số các kiểu gen và tần số alen cho thế hệ F1 (biết rằng không xảy ra đột biến)
Câu 7. (2,0 điểm)
Khi lai cà chua quả đỏ, tròn với cà chua quả vàng, bầu dục, F1 thu được 100% quả đỏ, tròn. Cho F1 tự thụ phấn thì thu được F2 gồm 1500 cây, trong đó có 990 cây quả đỏ, tròn.
Hãy giải thích và viết sơ đồ lai từ P đến F2. Biết một gen quy định một tính trạng và các cây F1 có quá trình giảm phân tạo giao tử giống nhau.
Câu 8. (2,5 điểm)
Một sinh vật lưỡng tính tự thụ tinh, có số tế bào sinh dục sơ khai đực và cái bằng nhau. Do buồng trứng chín không đều nên chỉ có 80% số trứng được thụ tinh. Sau thụ tinh người ta nhận thấy tổng số nhiễm sắc thể đơn của các hợp tử kém tổng số nhiễm sắc thể đơn của các giao tử không được thụ tinh là 288. Biết rằng số hợp tử bằng số nhiễm sắc thể lưỡng bội của loài. Hãy tính
a. Số hợp tử được tạo thành
b. Số tế bào sinh dục sơ khai mỗi loại ban đầu.
Câu 9. (3,0 điểm)
Ở một loài thực vật, nếu các gen trên một NST đều liên kết hoàn toàn thì khi tự thụ phấn nó có khả năng tạo nên 1024 kiểu tổ hợp giao tử. Trong một thí nghiệm người ta thu được một số hợp tử. Cho 1/4 số hợp tử phân chia 3 lần liên tiếp, 2/3 số hợp tử phân chia 2 lần liên tiếp, còn bao nhiêu chỉ qua phân chia 1 lần. Sau khi phân chia số NST tổng cộng của tất cả các hợp tử là 580. Hỏi số noãn được thụ tinh là bao nhiêu?
Download tài liệu để xem thêm chi tiết.
Theo Nghị định 147/2024/ND-CP, bạn cần xác thực tài khoản trước khi sử dụng tính năng này. Chúng tôi sẽ gửi mã xác thực qua SMS hoặc Zalo tới số điện thoại mà bạn nhập dưới đây: