Hỗ trợ tư vấn
Tư vấn - Giải đáp - Hỗ trợ đặt tài liệu
Mua gói Pro để tải file trên Download.vn (không bao gồm tài liệu cao cấp) và trải nghiệm website không quảng cáo
Tìm hiểu thêm »
SỞ GIÁO DỤC VÀ ĐÀO TẠO
|
ĐỀ THI CHỌN HỌC SINH GIỎI CẤP TỈNH
|
Bài 1: (2,0 điểm)
Tính:
Bài 2: (2,0 điểm)
Tính tổng:![]()
Bài 3: (2,0 điểm)
Tìm ước chung lớn nhất và Bội chung nhỏ nhất của hai số: a = 121212; b = 181818
Bài 4: (2,0 điểm)
Tính giá trị của A = (3x3 + 8x2 + 2)10 với![]()
Bài 5: (2,0 điểm)
Tìm bốn chữ số cuối cùng của số: a = 52013
Bài 6: (2,0 điểm)
Tìm tất cả các cặp nghiệm nguyên của phương trình: (x - 2)(y + 1) = 8
Bài 7: (2,0 điểm)
Hình thang cân ABCD có hai đáy là AB và CD, cho AB = BC = 1/2CD. Tính gần đúng chu vi và diện tích hình thang biết AC = 4cm.

Bài 8: (2,0 điểm)
Cho bốn đường thẳng d1: y = -2x + 8; d2: y = -2x - 2; d3: y = 1/2x + 3; d4: y = 1/2x - 2. Bốn đường thẳng trên cắt nhau tại bốn điểm A; B; C; D.
a) Tìm tọa độ các điểm A; B; C; D.
b) Tính diện tích tứ giác tạo bởi bốn đường thẳng trên.
Bài 9: (2,0 điểm)
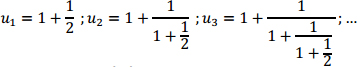
Cho dãy số (un) có các số hạng:

a) Tính u10 (dạng phân số tối giản)
b) Tính gần đúng S = u1 + u2 + ... + u20
Bài 10 (2,0 điểm)
Cho hình vuông ABCD có cạnh 28cm. Vẽ nửa đường tròn đường kính hai góc phần tư đường tròn tâm A và B bán kính AB nằm trong hình vuông (hình vẽ). Tính hiệu diện tích hai hình 1 và 3.

Download tài liệu để xem thêm chi tiết.
Theo Nghị định 147/2024/ND-CP, bạn cần xác thực tài khoản trước khi sử dụng tính năng này. Chúng tôi sẽ gửi mã xác thực qua SMS hoặc Zalo tới số điện thoại mà bạn nhập dưới đây: