Hỗ trợ tư vấn
Tư vấn - Giải đáp - Hỗ trợ đặt tài liệu
Mua gói Pro để tải file trên Download.vn (không bao gồm tài liệu cao cấp) và trải nghiệm website không quảng cáo
Tìm hiểu thêm »
SỞ GIÁO DỤC VÀ ĐÀO TẠO
|
KỲ THI CHỌN HỌC SINH GIỎI CẤP TỈNH LỚP 12
|
Câu I (6,0 điểm).
1. Giải phương trình:![]()
2. Giải bất phương trình:![]()
Câu II (3,0 điểm).
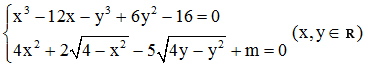
Tìm tất cả các giá trị của tham số m để hệ phương trình sau có nghiệm:
Câu III (5,5 điểm).
Cho hình chóp S.ABCD có đáy ABCD là hình thoi cạnh 2a; SA = SB = SC = 2a. Gọi M là trung điểm của cạnh SA; N là giao điểm của đường thẳng SD và mặt phẳng (MBC). Gọi V, V1 lần lượt là thể tích của các khối chóp S.ABCD và S.BCNM.
a) Tính tỷ số
.
b) Chứng minh V ≤ 2a3.
Câu IV (3,0 điểm).
Trong mặt phẳng tọa độ Oxy, cho tam giác ABC có A(2; -1). Đường phân giác trong của các góc B và C lần lượt có phương trình x - 2y + 1 = 0; x + y + 3 = 0. Viết phương trình đường thẳng BC.
Câu V (2,5 điểm).
Cho x, y, z là các số thực dương thỏa mãn xyz = 1. Tìm giá trị lớn nhất của biểu thức:
Download tài liệu để xem thêm chi tiết
Theo Nghị định 147/2024/ND-CP, bạn cần xác thực tài khoản trước khi sử dụng tính năng này. Chúng tôi sẽ gửi mã xác thực qua SMS hoặc Zalo tới số điện thoại mà bạn nhập dưới đây: