Hỗ trợ tư vấn
Tư vấn - Giải đáp - Hỗ trợ đặt tài liệu
Mua gói Pro để tải file trên Download.vn (không bao gồm tài liệu cao cấp) và trải nghiệm website không quảng cáo
Tìm hiểu thêm »
SỞ GIÁO DỤC VÀ ĐÀO TẠO
|
KỲ THI CHỌN HỌC SINH GIỎI CẤP TỈNH LỚP 12
|
Câu I (6,0 điểm).
1. Giải phương trình:![]()
2. Giải bất phương trình:![]()
Câu II (3,0 điểm).
Tìm tất cả các giá trị của tham số để hệ phương trình sau có nghiệm:
Câu III (2,5 điểm).
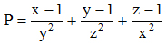
Cho ba số thực x, y, z thỏa mãn x + y + z = xyz và x > 1, y > 1, z > 1. Tìm giá trị nhỏ nhất của biểu thức:
Câu IV (6,0 điểm).
1. Cho tứ diện ABCD có AB = CD, AC = BD, AD = BC. Chứng minh rằng khoảng cách từ trọng tâm của tứ diện ABCD đến các mặt phẳng (ABC), (BCD), (CDA), (DAB) bằng nhau.
2. Cho hình chóp S.ABCD có đáy ABCD là hình thoi cạnh 2a; SA = SB = SC = 2a. Gọi là thể tích khối chóp S.ABCD. Chứng minh V ≤ 2a3
Câu V (2,5 điểm).
Trong mặt phẳng tọa độ Oxy, cho đường tròn (C): (x - 1)2 + (y - 1)2 - 25, và các điểm A(7; 9), B(0; 8). Tìm tọa độ điểm M thuộc (C) sao cho biểu thức P = MA + 2MB đạt giá trị nhỏ nhất.
Download tài liệu để xem thêm chi tiết
Theo Nghị định 147/2024/ND-CP, bạn cần xác thực tài khoản trước khi sử dụng tính năng này. Chúng tôi sẽ gửi mã xác thực qua SMS hoặc Zalo tới số điện thoại mà bạn nhập dưới đây: