Hỗ trợ tư vấn
Tư vấn - Giải đáp - Hỗ trợ đặt tài liệu
Mua gói Pro để tải file trên Download.vn (không bao gồm tài liệu cao cấp) và trải nghiệm website không quảng cáo
Tìm hiểu thêm »
SỞ GIÁO DỤC VÀ ĐÀO TẠO
|
KỲ THI CHỌN HỌC SINH GIỎI LỚP 12 VÒNG 1
|
Câu 1: (6,0 điểm)
a) Giải hệ phương trình:
với x, y thuộc i
b) Giải phương trình:
với x thuộc i
Câu 2: (5,0 điểm)
a) Trong mặt phẳng với hệ toạ độ Oxy, cho tam giác ABC cân tại A, cạnh BC nằm trên đường thẳng có phương trình: 2x + y - 2 = 0. Đường cao kẻ từ B có phương trình: x + y + 1 = 0, điểm M(1; 1) thuộc đường cao kẻ từ đỉnh C. Xác định toạ độ các đỉnh của tam giác ABC.
b) Trong mặt phẳng cho bốn điểm phân biệt A,B,C,D sao cho bốn điểm đó không cùng nằm trên một đường thẳng. Chứng minh rằng: ![]()
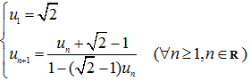
Câu 3: (3,0 điểm)
Cho dãy số(un) xác định như sau:

a) Chứng minh: ![]()
b) Tính: u2015
Câu 4: (3,0 điểm)
Cho ba số dương a, b c thỏa mãn abc = 1.Chứng minh rằng:
a. a2 + b2 + c2 ≥ a + b + c
b. ![]()
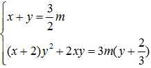
Câu 5: (3,0 điểm)
Cho hệ phương trình:
Tìm m để hệ phương trình có nhiều hơn hai nghiệm với x,y thuộc i
Download tài liệu để xem thêm chi tiết
Theo Nghị định 147/2024/ND-CP, bạn cần xác thực tài khoản trước khi sử dụng tính năng này. Chúng tôi sẽ gửi mã xác thực qua SMS hoặc Zalo tới số điện thoại mà bạn nhập dưới đây: