Hỗ trợ tư vấn
Tư vấn - Giải đáp - Hỗ trợ đặt tài liệu
Mua gói Pro để tải file trên Download.vn (không bao gồm tài liệu cao cấp) và trải nghiệm website không quảng cáo
Tìm hiểu thêm »
SỞ GIÁO DỤC VÀ ĐÀO TẠO
|
KỲ THI CHỌN HỌC SINH GIỎI LỚP 12 VÒNG 1
|
Câu 1: (5,0 điểm)
a. Giải phương trình sau trên tập số thực: ![]()
b. Giải hệ phương trình sau trên tập số thực: 
Câu 2: (5,0 điểm)
a. Trong mặt phẳng với hệ trục tọa độ Oxy cho hai điểm A(1; 2), B(4; 3). Tìm trên trục hoành điểm M sao cho góc AMB = 45o
b. Cho tam giác ABC đều, cạnh bằng 6cm, trọng tâm là G. Một đường thẳng ∆ đi qua G, ∆ cắt các đoạn thẳng AB và AC lần lượt tại hai điểm M và Nsao cho 2AM = 3AN. Tính diện tích tam giác AMN.
Câu 3: (4,0 điểm)
Cho dãy số (un) được xác định bởi u1 = 1 và un+1 = un + 2n với mọi n ≥ 1
a. Chứng minh rằng: un = 2n - 1
b. Tính tổng S = u1 + u2 + u3 +... + un theo n.
Câu 4: (3,0 điểm)
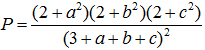
Cho các số thực dương a, b, c
a. Chứng minh rằng: ![]()
b. Tìm giá trị nhỏ nhất của biểu thức:
Câu 5: (3,0 điểm)
Cho hàm số
có đồ thị là (Cm), m là tham số. Tìm các giá trị của m để trên (Cm) có duy nhất một điểm có hoành độ âm mà tiếp tuyến của (Cm) tại điểm đó vuông góc với đường thẳng d: x + 2y = 0
Download tài liệu để xem thêm chi tiết
Theo Nghị định 147/2024/ND-CP, bạn cần xác thực tài khoản trước khi sử dụng tính năng này. Chúng tôi sẽ gửi mã xác thực qua SMS hoặc Zalo tới số điện thoại mà bạn nhập dưới đây: