Hỗ trợ tư vấn
Tư vấn - Giải đáp - Hỗ trợ đặt tài liệu
Mua gói Pro để tải file trên Download.vn (không bao gồm tài liệu cao cấp) và trải nghiệm website không quảng cáo
Tìm hiểu thêm »
SỞ GIÁO DỤC VÀ ĐÀO TẠO
|
KỲ THI CHỌN HỌC SINH GIỎI CẤP TỈNH LỚP 9
|
Bài 1. (4,5 điểm)
a) Chứng minh đẳng thức: 
b) Giải hệ phương trình: 
Bài 2. (3,5 điểm)
Cho hàm số bậc nhất y = mx + m - 1 (*) (với m là tham số).
a) Tìm các giá trị của m để đồ thị của hàm số (*) tạo với các trục tọa độ Oxy một tam giác có diện tích bằng 2.
b) Chứng minh rằng đồ thị của hàm số (*) luôn đi qua một điểm cố định với mọi giá trị của m.
Bài 3. (4,0 điểm)
Cho x, y, z là ba số thực dương thoả mãn xyz = 1. Tìm giá trị lớn nhất của biểu thức:![]()
Bài 4. (6,0 điểm)
Cho tam giác ABC có ba góc nhọn nội tiếp đường tròn tâm O. Gọi I là một điểm trên cung nhỏ AB (I không trùng với A và B). Gọi M,N, P theo thứ tự là hình chiếu của điểm I trên các đường thẳng BC, AC, AB.
a) Chứng minh rằng ba điểm M, N, P thẳng hàng.
b) Xác định vị trí của điểm I để đoạn thẳng MN có độ dài lớn nhất.
Bài 5. (2,0 điểm)
Giải phương trình sau: ![]()
Câu 1. (4,0 điểm)
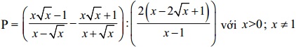
Cho biểu thức
a) Rút gọn biểu thức P.
b) Tìm x nguyên để P nhận giá trị nguyên.
Câu 2. (4,0 điểm)
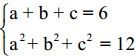
Cho ba số thực a, b, c thỏa mãn đồng thời: 
Tính giá trị của biểu thức P = (a - 3)2013 + (b - 3)2013 + (c - 3)2013.
Câu 3. (4,0 điểm)
Giải phương trình: ![]()
Câu 4. (6,0 điểm)
Cho đường tròn (O) và BC là một dây cung không đi qua tâm O. Điểm A bất kì nằm trên cung lớn BC của đường tròn (O) sao cho điểm O luôn nằm trong tam giác ABC (A ≠ B; C). Các đường cao AD, BE, CF cắt nhau tại H.
a) Chứng minh tứ giác BFEC nội tiếp.
b) Đường cao AD cắt đường tròn (O) tại I. Chứng minh I đối xứng với H qua BC.
c) Gọi M là trung điểm của BC. Chứng minh AH = 2OM.
Câu 5. (2,0 điểm)
Cho ba số thực dương x, y, z thỏa mãn ![]()
Tìm giá trị lớn nhất của biểu thức P = xyz.
Download tài liệu để xem thêm chi tiết.
Theo Nghị định 147/2024/ND-CP, bạn cần xác thực tài khoản trước khi sử dụng tính năng này. Chúng tôi sẽ gửi mã xác thực qua SMS hoặc Zalo tới số điện thoại mà bạn nhập dưới đây: