Hỗ trợ tư vấn
Tư vấn - Giải đáp - Hỗ trợ đặt tài liệu
Mua gói Pro để tải file trên Download.vn (không bao gồm tài liệu cao cấp) và trải nghiệm website không quảng cáo
Tìm hiểu thêm »
SỞ GIÁO DỤC VÀ ĐÀO TẠO
|
KÌ THI CẤP TỈNH GIẢI TOÁN TRÊN MÁY TÍNH CẦM TAY
|
Bài 1 (6,0 điểm)
Tính gần đúng (kết quả làm tròn đến chữ số thập phân thứ 9)

Bài 2 (4,0 điểm)
Từ 8 chữ số 1; 2; 3; 4; 5; 6; 7; 8:
a) Lập số tự nhiên N nhỏ nhất có 8 chữ số khác nhau chia hết cho 1111;
b) Lập số tự nhiên M lớn nhất có 8 chữ số khác nhau chia hết cho 1111;
c) Lập được bao nhiêu số tự nhiên có 8 chữ số khác nhau chia hết cho 1111?
Bài 3 (5,0 điểm)
Cho dãy số {an} như sau: a1 = 3; an = an-1 + 3n2 + 5 với n ∈ N và n > 1.
a) Tính a5; a6; a7; a8
b) Lập quy trình bấm phím liên tục tính an (ghi rõ sử dụng loại máy tính nào?)
c) Tính a2012; a2013.
Bài 4 (4,0 điểm)
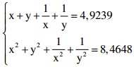
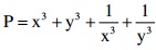
Cho hai số x; y 0 ≠ thỏa mãn:
Tính gần đúng giá trị của biểu thức: ![]()
Bài 5 (5,0 điểm)
Cho tam giác ABC ngoại tiếp đường tròn tâm O bán kính r = 2,1043 cm. Đường tròn (O; r) tiếp xúc với BC tại D. Biết BD = 4,2742 cm, DC = 6,5342 cm.
a) Tính gần đúng số đo góc A của tam giác ABC;
b) Tính gần đúng diện tích tam giác ABC.
Bài 6 (3,0 điểm)
Cho tam giác ABC cân tại A, trực tâm H nằm trong tam giác. Biết HA = 3,094cm, HB = 6,630cm. Tính độ dài đường cao AD của tam giác ABC.
Bài 7 (3,0 điểm)
Tìm các cặp số nguyên (x; y) thỏa mãn: 10x + y = x2 + y2 + 1
Bài 1: (5,0 điểm)
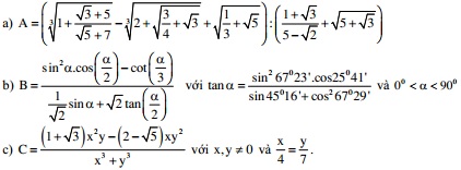
a) Tính giá trị của biểu thức (kết quả lấy 6 chữ số thập phân)![]()
b) Tìm số dư khi chia (19122012 x 1220132014) cho 10000
c) Tìm số dư khi chia (20122013 + 318126) + cho (1 + 2012 + 20122 + ... + 20122012)
Bài 2: (5,0 điểm)
a) Tìm các chữ số a, b, c, d sao cho ![]()
b) Tìm các chữ số x, y, z để
chia hết cho 5, 7 và 9
Bài 3: (5,0 điểm)
Cho P(x) = x5 + ax4 + bx3 + cx2 + dx + e. Biết P(-2) = 73; P(-1) = -25; P(0) = 1; P(1) = 25; P(2) = 377.
a) Tìm các hệ số a; b; c; d; e của đa thức P(x)
b) Tính giá trị chính xác của P(1,2); P(19); P(95); P(112)
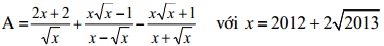
Bài 4: (5,0 điểm)
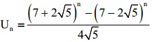
Cho dãy số
(n thuộc R; n ≥ 1)
a) Tính 5 giá trị đầu tiên của dãy Un.
b) CMR: Un+2 = 14Un+1– 29Un
c) Viết quy trình bấm phím tính Un+2 theo Un+1 và Un (n =1, 2,3…). (Nêu rõ loại máy tính sử dụng).
Bài 5: (4,0 điểm)
Cho ∆ ABC có BC = 20,12cm; góc A = 56018’, góc C = 80026’.
a) Tính gần đúng độ dài đường cao BH.
b) Tính gần đúng diện tích tam giác ABC.
Bài 6: (4,0 điểm)
Cho đường tròn (O) bán kính R = 12,19cm. Hai dây AB và CD song song với nhau có độ dài lần lượt là 20,12cm và 19,12cm. Tính gần đúng khoảng cách giữa hai dây AB và CD.
Bài 7: (2,0 điểm)
Biết đường thẳng (d) đi qua hai điểm A(1; 2), B(-3; 5), tính gần đúng khoảng cách từ điểm
đến đường thẳng (d). (Kết quả làm tròn 6 chữ số thập phân).
Download tài liệu để xem thêm chi tiết.
Theo Nghị định 147/2024/ND-CP, bạn cần xác thực tài khoản trước khi sử dụng tính năng này. Chúng tôi sẽ gửi mã xác thực qua SMS hoặc Zalo tới số điện thoại mà bạn nhập dưới đây: