Hỗ trợ tư vấn
Tư vấn - Giải đáp - Hỗ trợ đặt tài liệu
Mua gói Pro để tải file trên Download.vn (không bao gồm tài liệu cao cấp) và trải nghiệm website không quảng cáo
Tìm hiểu thêm »
SỞ GIÁO DỤC VÀ ĐÀO TẠO
|
KÌ THI CẤP TỈNH GIẢI TOÁN TRÊN MÁY TÍNH CẦM TAY
|
Bài 1: (6,0 điểm)
Tính gần đúng (làm tròn đến chữ số thập phân thứ 9)

Bài 2: (4,0 điểm)
Tìm chữ số thập phân thứ 32013 của 16/23
Bài 3: (5,0 điểm)
Viết các số chính phương liên tiếp 12; 22; 32 ...; 20122 liền nhau ta được số D = 1491625...4048144.
a) Tìm số chữ số của D;
b) Tìm số dư trong phép chia D cho 9.
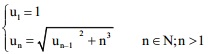
Bài 4: (6,0 điểm)
Cho dãy số: 
Gọi Sn là tổng n số hạng đầu tiên của dãy un (Sn = u1 + u2 + ... + un).
a) Tính u5; u6; u15; u16; u2012
b) Tính S5; S6; S15; S16; S2012
c) Viết quy trình bấn phím liên tục tính Sn.
Bài 5: (6,0 điểm)
Một người được lĩnh lương khởi điểm là 1,6 triệu đồng một tháng. Cứ ba năm người đó được tăng lương thêm 8%.
a) Hỏi năm làm việc thứ 36 (trước khi về hưu), lương tháng của người đó là bao nhiêu? (làm tròn đến đồng)
b) Hỏi sau 36 năm làm việc người đó được lĩnh tất cả bao nhiêu tiền? (làm tròn đến đồng)
c) Trong năm đầu tiên, cuối mỗi tháng người đó gửi vào ngân hàng một số tiền như nhau với lãi suất 1,4% một tháng. Hai năm tiếp theo, người đó không gửi thêm tiền vào ngân hàng. Hết năm thứ ba, người đó rút cả gốc và lãi được 14 triệu đồng để mua xe máy. Hỏi trong năm đầu tiên, cuối mỗi tháng người đó gửi vào ngân hàng bao nhiêu tiền? (làm tròn đến đồng)
Bài 6: (5,0 điểm)
Cho đa thức f(x) thỏa mãn: f(x) chia cho x + 2 dư 3,589; chia cho x - 3 dư 4,237; chia cho (x + 2)(x - 3) được thương là 2x + 1 và còn dư.
Tính: f(16); f(2); f(12)
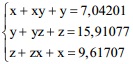
Bài 7: (5,0 điểm)
Cho x, y, z là các số không âm thỏa mãn:
Tính gần đúng (làm tròn đến chữ số thập phân thứ 5) giá trị của biểu thức: E = (x + 1)(y + 1)(z + 1)
Bài 8: (4,0 điểm)
Cho hình thang vuông ABCD (AB // CD, góc A = 90o) có AB = 2,151 cm; CD = 6,729 cm; AD = 4,736 cm. Tính gần đúng (làm tròn đến phút) góc nhọn tạo bởi hai đường chéo AC, BD.
Bài 9: (6 điểm)
Cho đường tròn tâm O bán kính R. Đặt liên tiếp các dây AB = p ; BC = 2p; CD = q của đường tròn (O; R) ( hình vẽ).

a) Tính gần đúng (làm tròn đến chữ số thập phân thứ 3) độ dài dây AD và diện tích S của tứ giác ABCD với R = 2,156 cm; p = 1,171 cm; q = 3,328 cm.
b) Với R = 2,156 cm. Hãy xác định gần đúng giá trị của p, q (làm tròn đến chữ số thập phân thứ 3) để tứ giác ABCD có diện tích S = 8,356 cm2 và góc ABC = 90o.
Bài 10: (3,0 điểm)
Tìm số tự nhiên n biết ![]()
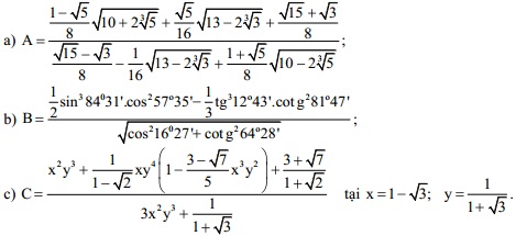
Bài 1: (6 điểm)
a) Tìm giá trị chính xác của biểu thức: A = 1234567892
b) Tính giá trị của biểu thức:

Bài 2: (4 điểm)
Tìm số dư của phép chia:
a) 20122012201220122012 chia cho 2011.
b)
chia cho 11
Bài 3: (4 điểm)
Tìm số chữ số của số 20112012
Bài 4: (5 điểm)
Một người vay thế chấp lương của ngân hàng số tiền là 400 triệu đồng. Biết mỗi tháng người đó phải đều đặn trả một số tiền là a và phải chịu lãi suất của số tiền chưa trả là 1,7%/tháng. Biết người đó bắt đầu trả tiền sau 1 tháng và sau 5 năm thì người đó trả hết cả gốc lẫn lãi. Tìm a và tổng số tiền lãi mà người đó phải trả là bao nhiêu? (Đơn vị tiền tệ ngân hàng làm tròn đến đồng).
Bài 5: (5 điểm)
Biết rằng x là một số thực khác 0, tìm giá trị nhỏ nhất của biểu thức:![]()
Bài 6: (6 điểm)
Cho các đường thẳng d1: 3x – 2y = -16; d2: 2x + 3y = 11; d3: 3x + 11y = 10. Gọi A, B, C lần lượt là giao điểm của d1 và d2, d1 và d3, d2 và d3.
a) Tìm toạ độ giao điểm của A, B, C.
b) Tính chu vi tam giác ABC.
c) Tính các góc của tam giác ABC (Đơn vị góc làm tròn đến phút, đơn vị độ dài trên các trục là cm)
Bài 7: (6 điểm)
với n là số tự nhiên khác 0.
a) Tính năm số hạng đầu tiên của dãy.
b) Trình bày cách tìm công thức Un+2 theo Un+1 và Un.
c) Gọi S là tổng từ U1 đến Un.Viết quy trình ấn phím tính Sn.
d) Tính S5, S10.
Bài 8: (5 điểm)
Cho hình chữ nhật ABCD. Qua đỉnh B, vẽ đường vuông góc với đường chéo AC tại H.
a) Biết BH = 17,25 cm; góc BAC = 38o40'. .Tính diện tích hình chữ nhật ABCD?
b) Tính độ dài đường chéo AC?
Bài 9 (5 điểm)
Cho biết
là nghiệm của phương trình ẩn x: x3 + ax2 + bx + 16 = 0 (với a, b là các số hữu tỉ). Hãy tìm a, b và các nghiệm còn lại của phương trình.
Bài 10 (4 điểm):
Tìm các số tự nhiên n (1000 < n < 1500) Sao cho
cũng là số tự nhiên?
Download tài liệu để xem thêm chi tiết.
Theo Nghị định 147/2024/ND-CP, bạn cần xác thực tài khoản trước khi sử dụng tính năng này. Chúng tôi sẽ gửi mã xác thực qua SMS hoặc Zalo tới số điện thoại mà bạn nhập dưới đây: