Đề thi học sinh giỏi lớp 12 THPT tỉnh Quảng Ninh năm 2012 - 2013 Môn: Toán (bảng A + B) - Có đáp án

SỞ GIÁO DỤC VÀ ĐÀO TẠO
QUẢNG NINH

ĐỀ THI CHÍNH THỨC

KỲ THI CHỌN HỌC SINH GIỎI CẤP TỈNH LỚP 12
NĂM HỌC: 2012 - 2013

Ngày thi: 23/10/2012

ĐỀ THI MÔN: TOÁN (BẢNG A)

Bài 1 (6 điểm):

1. Cho hàm số Đề thi học sinh giỏi lớp 12 THPT tỉnh Quảng Ninhcó đồ thị (C), gọi I là giao hai tiệm cận. Viết phương trình tiếp tuyến với đồ thị (C) biết tiếp tuyến ấy cắt hai đường tiệm cận của đồ thị tại hai điểm A, B sao cho bán kính đường tròn nội tiếp tam giác IAB lớn nhất.

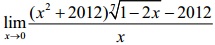
2. Tính giới hạn sau: Đề thi học sinh giỏi lớp 12 THPT tỉnh Quảng Ninh

Bài 2 (3 điểm):

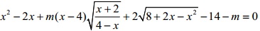
Tìm m để phương trình sau đây có nghiệm:
Đề thi học sinh giỏi lớp 12 THPT tỉnh Quảng Ninh

Bài 3 (3 điểm):

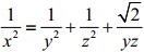
Cho tam giác ABC vuông ở A, gọi I là tâm đường tròn nội tiếp tam giác. Đặt IA = x, IB = y, IC = z. Chứng minh rằng:
Đề thi học sinh giỏi lớp 12 THPT tỉnh Quảng Ninh

Bài 4 (5 điểm):

Trong mặt phẳng (P) cho đường tròn đường kính BC cố định. M là một điểm di động trên đường tròn ấy. Trên đường thẳng d vuông góc với mặt phẳng (P) tại B lấy một điểm A cố định. Gọi H, K lần lượt là hình chiếu của B trên AM và AC.

1. Chứng minh rằng khi M di động mặt phẳng (BHK) cố định.

2. Xác định vị trí của M để diện tích tam giác BHK lớn nhất

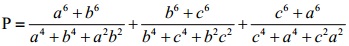
Bài 5 (3 điểm):

Cho ba số thực a,b,c thỏa mãn abc = 2√2. Tìm giá trị nhỏ nhất của biểu thức:
Đề thi học sinh giỏi lớp 12 THPT tỉnh Quảng Ninh

ĐỀ THI MÔN: TOÁN (BẢNG B)

Bài 1 (4 điểm):

Tính giới hạn sau:cĐề thi học sinh giỏi lớp 12 THPT tỉnh Quảng Ninh

Bài 2 (3 điểm):

Cho tam giác ABC có góc C = α, B = β với α< β, trung tuyến AM. Gọi φ là góc nhọn tạo bởi AM với cạnh BC, chứng minh rằng: 2cotφ = cotα- cotβ.

Bài 3 (4 điểm):

Giải bất phương trình: Đề thi học sinh giỏi lớp 12 THPT tỉnh Quảng Ninh

Bài 4 (6 điểm):

Cho tam giác đều ABC cạnh a, đường thẳng (d) qua A vuông góc với mặt phẳng (ABC). Trên (d) lấy điểm M. Gọi I là trực tâm của tam giác MBC, H là trực tâm của tam giác ABC, giao điểm của đường thẳng HI với (d) là N.

1. Chứng minh rằng tứ diện MNBC có các cặp cạnh đối vuông góc với nhau

2. Chứng minh rằng khi M di chuyển trên (d) thì tích AM.AN không đổi.

Bài 5 (3 điểm):

Tìm giá trị nhỏ nhất của biểu thức Đề thi học sinh giỏi lớp 12 THPT tỉnh Quảng Ninh với a, b là các số thực thỏa mãn a ≠ 0, b ≠ 0.

Download tài liệu để xem thêm chi tiết.

Chia sẻ bởi: 👨 Nguyễn Thu Ngân
Liên kết tải về
Tìm thêm: Toán 12
Xác thực tài khoản!

Theo Nghị định 147/2024/ND-CP, bạn cần xác thực tài khoản trước khi sử dụng tính năng này. Chúng tôi sẽ gửi mã xác thực qua SMS hoặc Zalo tới số điện thoại mà bạn nhập dưới đây:

Số điện thoại chưa đúng định dạng!
Số điện thoại này đã được xác thực!
Bạn có thể dùng Sđt này đăng nhập tại đây!
Lỗi gửi SMS, liên hệ Admin
Sắp xếp theo
👨
Đóng
Chỉ thành viên Download Pro tải được nội dung này! Download Pro - Tải nhanh, website không quảng cáo! Tìm hiểu thêm
Nhắn tin Zalo