Hỗ trợ tư vấn
Tư vấn - Giải đáp - Hỗ trợ đặt tài liệu
Mua gói Pro để tải file trên Download.vn (không bao gồm tài liệu cao cấp) và trải nghiệm website không quảng cáo
Tìm hiểu thêm »
SỞ GIÁO DỤC & ĐÀO TẠO
|
KÌ THI CHỌN HỌC SINH GIỎI TỈNH
|
Câu 1 (2 điểm).
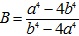
a) Rút gọn biểu thức với 
b) Cho a và b là các số thỏa mãn a > b > 0 và a3 - a2b + ab2 - 6b3 = 0.
Tính giá trị của biểu thức ![]()
Câu 2 (2 điểm).
a) Giải phương trình ![]()
b) Giải hệ phương trình ![]()
Câu 3 (2 điểm).
a) Tìm các số nguyên dương x, y thỏa mãn phương trình xy2 + 2xy + x = 32y.
b) Cho hai số tự nhiên a, b thỏa mãn 2a2 + a = 3b2 + b.
Chứng minh rằng 2a + 2b + 1 là số chính phương.
Câu 4 (3 điểm).
Cho tam giác đều ABC nội tiếp đường tròn (O, R). H là một điểm di động trên đoạn OA (H khác A). Đường thẳng đi qua H và vuông góc với OA cắt cung nhỏ AB tại M. Gọi K là hình chiếu của M trên OB.
a) Chứng minh góc HKM = 2AMH.
b) Các tiếp tuyến của (O, R) tại A và B cắt tiếp tuyến tại M của (O, R) lần lượt tại D và E. OD, OE cắt AB lần lượt tại F và G. Chứng minh OD.GF = OG.DE.
c) Tìm giá trị lớn nhất của chu vi tam giác MAB theo R.
Câu 5 (1 điểm).
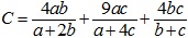
Cho a, b, c là các số thực dương thỏa mãn 2ab + 6bc + 2ac = 7abc. Tìm giá trị nhỏ nhất của biểu thức:
![]()
Download tài liệu để xem chi tiết.
Theo Nghị định 147/2024/ND-CP, bạn cần xác thực tài khoản trước khi sử dụng tính năng này. Chúng tôi sẽ gửi mã xác thực qua SMS hoặc Zalo tới số điện thoại mà bạn nhập dưới đây: