Hỗ trợ tư vấn
Tư vấn - Giải đáp - Hỗ trợ đặt tài liệu
Mua gói Pro để tải file trên Download.vn (không bao gồm tài liệu cao cấp) và trải nghiệm website không quảng cáo
Tìm hiểu thêm »
SỞ GIÁO DỤC VÀ ĐÀO TẠO
|
KỲ THI CHỌN HỌC SINH GIỎI TỈNH LỚP 12 THPT
|
MÔN THI: TOÁN - Vòng 2
Thời gian làm bài: 180 phút (không kể thời gian giao đề)
--------------------------------------------------------------------------------
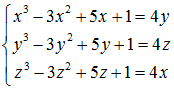
Câu 1 (2.5 điểm):
Giải hệ phương trình: 
Câu 2 (2.0 điểm):
Cho x, y thỏa mãn x2 + y2 = 2. Tìm giá trị lớn nhất, giá trị nhỏ nhất của biểu thức:
M = x2(x + 2) + y2(y + 2) + 3(x + y)(xy - 4)
Câu 3 (1.5 điểm):
Tìm tất cả các hàm số f: ¥* -> ¥* thỏa mãn đồng thời các điều kiện sau:
1) Với mọi m, n thuộc ¥*: n < m <-> f(n) < f(m).
2) f(2n) = f(n) + n với mọi y thuộc ¥*
3) Nếu f(n) là số chính phương thì n là số chính phương.
Câu 4 (2.5 điểm):
Cho tứ diện ABCD có độ dài các cạnh bằng 1. Gọi M, N lần lượt là trung điểm của DB, AC. Trên đường thẳng AB lấy điểm P, trên đường thẳng DN lấy điểm Q sao cho PQ // CM. Tính độ dài PQ và thể tích khối AMNP.
Câu 5: (1.5 điểm):
Cho đa giác đều n cạnh (n ≥ 8). Tính số tứ giác có 4 cạnh là 4 đường chéo của đa giác đã cho.
Download tài liệu để xem thêm chi tiết
Theo Nghị định 147/2024/ND-CP, bạn cần xác thực tài khoản trước khi sử dụng tính năng này. Chúng tôi sẽ gửi mã xác thực qua SMS hoặc Zalo tới số điện thoại mà bạn nhập dưới đây: