Hỗ trợ tư vấn
Tư vấn - Giải đáp - Hỗ trợ đặt tài liệu
Mua gói Pro để tải file trên Download.vn (không bao gồm tài liệu cao cấp) và trải nghiệm website không quảng cáo
Tìm hiểu thêm »
SỞ GIÁO DỤC VÀ ĐÀO TẠO
|
KỲ THI CHỌN HỌC SINH GIỎI TỈNH LỚP 12 THPT
|
MÔN THI: TOÁN - Vòng 1
Thời gian làm bài: 180 phút (không kể thời gian giao đề)
--------------------------------------------------------------------------------
Câu 1 (2.5 điểm):
Giải phương trình: ![]()
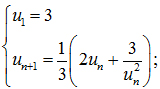
Câu 2 (2.5 điểm):
Cho dãy số (un) xác định bởi công thức: 
Tính: lim un?
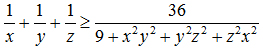
Câu 3 (1.5 điểm):
Cho các số thực dương x, y, z. Chứng minh rằng:
.
Câu 4 (2.0 điểm):
Cho tam giác ABC có M là trung điểm cạnh BC, N là chân đường phân giác góc . Đường thẳng vuông góc với NA tại N cắt các đường thẳng AB, AM lần lượt tại P, Q theo thứ tự đó. Đường thẳng vuông góc với AB tại P cắt AN tại O. Chứng minh OQ vuông BC.
Câu 5 (1.5 điểm):
Tìm nghiệm nguyên dương của phương trình: ![]()
Download tài liệu để xem thêm chi tiết
Theo Nghị định 147/2024/ND-CP, bạn cần xác thực tài khoản trước khi sử dụng tính năng này. Chúng tôi sẽ gửi mã xác thực qua SMS hoặc Zalo tới số điện thoại mà bạn nhập dưới đây: