Hỗ trợ tư vấn
Tư vấn - Giải đáp - Hỗ trợ đặt tài liệu
Mua gói Pro để tải file trên Download.vn (không bao gồm tài liệu cao cấp) và trải nghiệm website không quảng cáo
Tìm hiểu thêm »
SỞ GIÁO DỤC VÀ ĐÀO TẠO
|
KÌ THI CHỌN HỌC SINH GIỎI TỈNH
|
Thời gian làm bài: 180 phút (không kể thời gian giao đề)
Câu 1 (2 điểm)
a) Cho hàm số y = x2 + 2mx - 3m và hàm số y = -2x + 3. Tìm m để đồ thị các hàm số đó cắt nhau tại hai điểm phân biệt và hoành độ của chúng đều dương.
b) Giải bất phương trình: ![]()
Câu 2 (2 điểm)
a) Giải phương trình: ![]()
b) Giải phương trình: ![]()
Câu 3 (2 điểm)
a) Trong mặt phẳng tọa độ Oxy cho điểm M(1; 4). Đường thẳng d qua M, d cắt trục hoành tại A (hoành độ của A dương), d cắt trục tung tại B (tung độ của B dương). Tìm giá trị nhỏ nhất của diện tích tam giác OAB.
b) Trong mặt phẳng tọa độ Oxy cho đường tròn (C): (x - 2)2 + (y + 3)2 = 9 và điểm A(1; -2). Đường thẳng Δ qua A, Δ cắt (C) tại M và N. Tìm giá trị nhỏ nhất của độ dài đoạn thẳng MN.
Câu 4 (3 điểm)
a) Chứng minh rằng tứ giác lồi ABCD là hình bình hành khi và chỉ khi AB2 + BC2 + CD2 + DA2 = AC2 + BD2
b) Tìm tất cả các tam giác ABC thỏa mãn:
(trong đó AB=c; AC=b; đường cao qua A là ha).
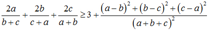
Câu 5 (1 điểm)
Cho a, b, c là các số thực dương. Chứng minh rằng:
Download tài liệu để xem thêm chi tiết
Theo Nghị định 147/2024/ND-CP, bạn cần xác thực tài khoản trước khi sử dụng tính năng này. Chúng tôi sẽ gửi mã xác thực qua SMS hoặc Zalo tới số điện thoại mà bạn nhập dưới đây: