Hỗ trợ tư vấn
Tư vấn - Giải đáp - Hỗ trợ đặt tài liệu
Mua gói Pro để tải file trên Download.vn (không bao gồm tài liệu cao cấp) và trải nghiệm website không quảng cáo
Tìm hiểu thêm »
SỞ GIÁO DỤC VÀ ĐÀO TẠO
|
KÌ THI CHỌN HỌC SINH GIỎI TỈNH
|
Thời gian làm bài: 180 phút (không kể thời gian giao đề)
Câu 1 (2 điểm)
1. Cho hàm số
có đồ thị là (C) và điểm M tùy ý thuộc (C). Tiếp tuyến của (C) tại điểm M cắt hai tiệm cận tại A và B. Gọi I là giao điểm của hai tiệm cận. Chứng minh tam giác IAB có diện tích không phụ thuộc vị trí điểm M.
2. Tìm m để hàm số
có cực đại.
Câu 2 (2 điểm)
1. Giải phương trình: ![]()
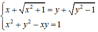
2. Giải hệ phương trình: 
Câu 3 (2 điểm)
1. Chứng minh
. Từ đó suy ra trong mọi tam giác nhọn ABC ta có:![]()
2. Tìm giá trị lớn nhất, nhỏ nhất của hàm số: ![]()
Câu 4 (3 điểm)
Cho hình chóp S.ABCD có đáy ABCD là hình vuông cạnh a, SA = A√3 và SA vuông góc với mặt phẳng đáy.
1. Mặt phẳng (P) đi qua điểm A và vuông góc với SC cắt SB, SC, SD lần lượt tại B’, C’, D’. Tính thể tích khối chóp S.AB’C’D’ theo a.
2. M và N là hai điểm thay đổi lần lượt thuộc các cạnh BC và DC sao cho góc MAN = 45o. Tìm giá trị lớn nhất và giá trị nhỏ nhất của thể tích khối chóp S.AMN.
Câu 5 (1 điểm)
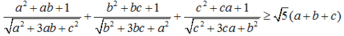
Cho a, b, c là các số thực dương thỏa mãn a2 + b2 + c2 = 1. Chứng minh:
Download tài liệu để xem thêm chi tiết
Theo Nghị định 147/2024/ND-CP, bạn cần xác thực tài khoản trước khi sử dụng tính năng này. Chúng tôi sẽ gửi mã xác thực qua SMS hoặc Zalo tới số điện thoại mà bạn nhập dưới đây: