Đề thi học sinh giỏi lớp 12 THPT tỉnh Bến Tre năm 2012 - 2013 môn Toán Đề thi môn Toán

SỞ GIÁO DỤC VÀ ĐÀO TẠO
BẾN TRE

ĐỀ THI CHÍNH THỨC

KỲ THI CHỌN HỌC SINH GIỎI LỚP 12 THPT CẤP TỈNH
NĂM HỌC 2012 - 2013

MÔN THI: TOÁN
Thời gian làm bài: 180 phút (không kể thời gian giao đề)

Bài 1: (4 điểm)

Cho P là điểm nằm trên hyperbol xy = 4 và Q là điểm nằm trên elip x2 + 4y2 = 4. Chứng minh độ dài đoạn PQ lớn hơn 1.

Bài 2: (4 điểm)

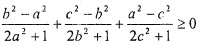
Chứng minh bất đẳng thức: Đề thi học sinh giỏi lớp 12 THPT tỉnh Bến Tre năm 2012 - 2013 môn Toánvới mọi số thực a, b, c.

Bài 3: (4 điểm)

Cho dãy số {xn}1 được xác định như sau:

Đề thi học sinh giỏi lớp 12 THPT tỉnh Bến Tre năm 2012 - 2013 môn Toán

Tìm công thức tổng quát của dãy.

Bài 4: (4 điểm)

Cho tập hợp A có n phần tử, n > 4 Tìm n biết rằng số tập con của A có số phần tử là lẻ bằng 2048n.

Bài 5: (4 điểm)

Tìm hàm số f: N* -> N* (N* là tập các số tự nhiên dương) thỏa mãn: f(n) + 2f(f(n)) = 3n + 5 với mọi n thuộc N*.

Download tài liệu để xem thêm chi tiết.

Chia sẻ bởi:
Liên kết tải về
Tìm thêm: Toán 12
Xác thực tài khoản!

Theo Nghị định 147/2024/ND-CP, bạn cần xác thực tài khoản trước khi sử dụng tính năng này. Chúng tôi sẽ gửi mã xác thực qua SMS hoặc Zalo tới số điện thoại mà bạn nhập dưới đây:

Số điện thoại chưa đúng định dạng!
Số điện thoại này đã được xác thực!
Bạn có thể dùng Sđt này đăng nhập tại đây!
Lỗi gửi SMS, liên hệ Admin
Sắp xếp theo
👨
Đóng
Chỉ thành viên Download Pro tải được nội dung này! Download Pro - Tải nhanh, website không quảng cáo! Tìm hiểu thêm
Nhắn tin Zalo