Hỗ trợ tư vấn
Tư vấn - Giải đáp - Hỗ trợ đặt tài liệu
Mua gói Pro để tải file trên Download.vn (không bao gồm tài liệu cao cấp) và trải nghiệm website không quảng cáo
Tìm hiểu thêm »
SỞ GIÁO DỤC VÀ ĐÀO TẠO
|
KỲ THI CHỌN HSG GIẢI TOÁN TRÊN MÁY TÍNH CẦM TAY
|
Chú ý:
- Các giá trị phải tính ra số thập phân, lấy chính xác 5 chữ số thập phân không làm tròn.
- Thí sinh phải ghi tóm tắt cách giải hay công thức tính.
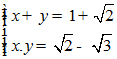
Câu 1.
Biết x, y là nghiệm của hệ phương trình: 
Tính giá trị biểu thức A = x3 + y3
Câu 2.
Tìm ba số thực a, b, c biết Parabol (P): y = ax2 + bx + c có đỉnh nằm trên trục hoành và đi qua hai điểm![]()
Câu 3.
Cho tam giác ABC, gọi M là điểm xác định bởi BM = BC - 3AB, N là điểm xác định bởi CN = m.AC -BC. Tìm giá trị m để ba điểm A, M, N thẳng hàng.
Câu 4.
Giải phương trình: ![]()
Câu 5.
Cho tam giác ABC có độ dài ba đường trung tuyến bằng 15; 18; 21. Tính diện tích của tam giác ABC.
Câu 6.
Cho đa thức f(x) = x5 + x2 + 1 có năm nghiệm x1, x2, x3, x4, x5
Kí hiệu p(x) = x2 - 81. Hãy tìm tích A = p(x1).p(x2).p(x3).p(x4).p(x5)
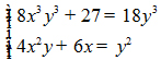
Câu 7.
Giải hệ phương trình: 
Câu 8.
Cho tam giác ABC có chu vi 58cm, góc B = 57018', góc C = 82035' . Tính cạnh BC.
Câu 9.
Tính giá trị gần đúng của biểu thức:
Câu 10.
Cho ba số thực a, b, c đều dương và thỏa mãn điều kiện a+b+c=1. Hãy tìm giá trị lớn nhất của biểu thức P = abc(a+b)(b+c)(c+a).
Download tài liệu để xem thêm chi tiết
Theo Nghị định 147/2024/ND-CP, bạn cần xác thực tài khoản trước khi sử dụng tính năng này. Chúng tôi sẽ gửi mã xác thực qua SMS hoặc Zalo tới số điện thoại mà bạn nhập dưới đây: