Hỗ trợ tư vấn
Tư vấn - Giải đáp - Hỗ trợ đặt tài liệu
Mua gói Pro để tải file trên Download.vn (không bao gồm tài liệu cao cấp) và trải nghiệm website không quảng cáo
Tìm hiểu thêm »
SỞ GIÁO DỤC VÀ ĐÀO TẠO
|
KỲ THI CHỌN HSG GIẢI TOÁN TRÊN MÁY TÍNH CẦM TAY
|
Bài 1:
Thực hiện phép tính:
Bài 2:
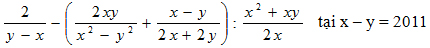
Tính giá trị của biểu thức:![]()
Bài 3:
Tìm x, biết:
Bài 4:
Tìm dư trong phép chia số 21999 cho 35
Bài 5:
Cho x + y = 6,912 và x2 + y2 = 33,76244. Tính x3 + y3
Bài 6:
Cho đa thức P(x) = x4 - 3x2 + mx + n. Khi chia P(x) cho đa thức x – 2 có dư là 23 . Khi chia P(x) cho x – 3 có dư là 80. Tìm số dư khi chia P(x) cho x-15 .
Bài 7:
Cho hình thang cân ABCD (AB // CD) có AB = 15cm, CD = 25cm; DB là tia phân giác góc D. Tính gần đúng 68% diện tích hình thang ABCD.
Bài 8:
Cho hình thang ABCD (AB // CD). M, N lần lượt là trung điểm của AD và BC. MN cắt BD, AC theo thứ tự ở I và K. Tính độ dài IK biết AB = 10,26cm và CD = 22,4cm
Bài 9:
Tìm giá trị nhỏ nhất của biểu thức 156,25.x2 – 362,5.x + 125,5.
Bài 10:
Tính gần đúng độ dài các cạnh của một hình chữ nhật, biết các cạnh lần lượt tỉ lệ với 388; 765 và diện tích của nó bằng 742,05 cm2
Download tài liệu để xem thêm chi tiết
Theo Nghị định 147/2024/ND-CP, bạn cần xác thực tài khoản trước khi sử dụng tính năng này. Chúng tôi sẽ gửi mã xác thực qua SMS hoặc Zalo tới số điện thoại mà bạn nhập dưới đây: