Hỗ trợ tư vấn
Tư vấn - Giải đáp - Hỗ trợ đặt tài liệu
Mua gói Pro để tải file trên Download.vn (không bao gồm tài liệu cao cấp) và trải nghiệm website không quảng cáo
Tìm hiểu thêm »
SỞ GIÁO DỤC VÀ ĐÀO TẠO
|
KỲ THI CHỌN HSG GIẢI TOÁN TRÊN MÁY TÍNH CẦM TAY
|
Bài 1:
Tính:
Bài 2:
Cho a = 10734 ; b = 12523; c = 16101. Tìm ƯCLN(a, b, c).
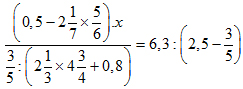
Bài 3:
Tìm x biết:
Bài 4:
Cho tam giác ABC có
. Tính số đo các góc của tam giác ABC.
Bài 5:
Tìm x, y biết:
Bài 6:
Tính chu vi khu vườn hình chữ nhật, biết chiều rộng bằng 7/13 chiều dài và chiều dài hơn chiều rộng là 193,69mm.
Bài 7:
Biết tỉ số của 7x – 5 và y + 13 là một hằng số và khi x= 2 thì y = 20. Hỏi khi y = 2005 thì x bằng bao nhiêu
Bài 8:
Số đo ba góc A, B, C của tam giác ABC lần lượt tỉ lệ với 6; 9; 11. CH vuông góc với AB (H thuộc AB). Tính số đo góc ACH (làm tròn đến phút).
Bài 9:
Biết: 2x + 3y - 4z = 21054 và ![]()
Tính: A = x + 2y - 3z
Bài 10:
Tìm tất cả các số nguyên n sao cho số 28 + 211 + 2n là số chính phương.
Download tài liệu để xem thêm chi tiết
Theo Nghị định 147/2024/ND-CP, bạn cần xác thực tài khoản trước khi sử dụng tính năng này. Chúng tôi sẽ gửi mã xác thực qua SMS hoặc Zalo tới số điện thoại mà bạn nhập dưới đây: