Hỗ trợ tư vấn
Tư vấn - Giải đáp - Hỗ trợ đặt tài liệu
Mua gói Pro để tải file trên Download.vn và trải nghiệm website không quảng cáo
Tìm hiểu thêm »Đề thi giữa học kì 2 môn Toán lớp 4 trường tiểu học Xuân Minh, Quảng Bình năm học 2016 - 2017 là tài liệu tham khảo bao gồm đáp án và bảng ma trận đề thi giúp các em học sinh ôn tập, ôn thi hiệu quả cho bài thi giữa học kì 2 lớp 4 đạt kết quả cao. Mời quý thầy cô và các em học sinh cùng tham khảo.
Đề thi giữa học kì 2 môn Toán lớp 4 trường Tiểu học Phú Long năm học 2016 - 2017
Đề thi giữa học kì 2 môn Tiếng Việt lớp 4 năm học 2016 - 2017
Đề thi giữa học kì 2 môn Toán lớp 4 năm học 2016 - 2017
|
PHÒNG GD&ĐT QUẢNG BÌNH TRƯỜNG PTDT BÁN TRÚ TIỂU HỌC VÀ THCS XUÂN MINH
|
BÀI KIỂM TRA ĐỊNH KỲ GIỮA HỌC KÌ II NĂM HỌC 2016 - 2017 MÔN: TOÁN - LỚP 4 Thời gian 40 phút (không kể thời gian giao đề) |
I. PHẦN TRẮC NGHIỆM (7,0 điểm)
Câu 1: (1,0 điểm) Điền dấu vào ô trống:


Câu 5: (1,0 điểm) Nối phép tính với kết quả của phép tính đó:

Câu 6: (1,0 điểm) Viết số thích hợp vào chỗ chấm
a) 5 tấn 25 kg = .......... kg (525 kg; 5 025 kg; 5 250 kg)
b) 1 m2 4 cm2 = ...........cm2 (10 004 cm2; 14 cm2; 104 cm2)
Câu 7: (1,0 điểm) Tìm một phân số, biết rằng nếu phân số đó trừ đi 1/5 rồi lại thêm 1/4 thì được 5/4. Phân số cần tìm là:.................
II. PHẦN TỰ LUẬN (3,0 điểm)
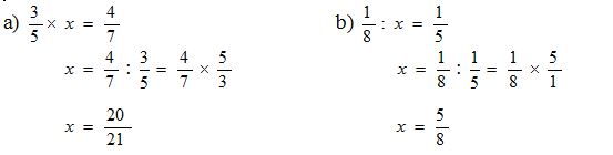
Câu 8: Tìm x: (1,0 điểm)

Câu 9: (1,0 điểm): Chị hơn em 6 tuổi. Tuổi chị và tuổi em cộng lại được 18 tuổi. Tính tuổi của mỗi người.
Câu 10: (1,0 điểm): Một cái sân hình bình hành có độ dài đáy là 20 m. Biết chiều cao bằng 3/4 độ dài đáy. Tính diện tích của cái sân đó?
|
Câu |
1 |
2 |
3 |
|||
|
Ý |
a |
b |
a |
b |
a |
b |
|
Đáp án |
< |
> |
C |
A |
S |
Đ |
|
Điểm |
0,5 |
0,5 |
0,5 |
0,5 |
0,5 |
0,5 |
Câu 4: (1,0 điểm) Mỗi thứ tự đúng được 0,25 điểm.
Xếp các phân số theo thứ tự từ bé đến lớn: 1/5; 3/5; 6/8; 8/5
Câu 5: (1,0 điểm) Mỗi phép tính nối đúng được 0,5 điểm

Câu 6: (1,0 điểm) Mỗi phép tính đúng được 0,5 điểm:
a) 5 tấn 25 kg = 5025 kg
b) 1 m2 4 cm2 = 10 004 cm2
Câu 7: (1,0 điểm) Tìm đúng phân số được 1,0 điểm.
Phân số cần tìm là: 6/5
II. PHẦN TỰ LUẬN (3,0 điểm)
Câu 8: Tìm x: (1,0 điểm) Mỗi phép tính đúng được 0,5 điểm:

Câu 9: (1,0 điểm): Chị hơn em 6 tuổi. Tuổi chị và tuổi em cộng lại được 18 tuổi. Tính tuổi của mỗi người.
Bài giải
Số tuổi của em là: (0, 25 điểm)
(18 - 6) : 2 = 6 (Tuổi) (0, 25 điểm)
Số tuổi của chị là: (0, 25 điểm)
18 - 6 = 12 (Tuổi) (0, 25 điểm)
Đáp số: Em: 6 Tuổi; Chị: 12 Tuổi
Câu 10: (1,0 điểm):
Bài giải
Chiều cao của cái sân đó là: (0, 2 điểm)
20 x 3/4 = 15 (m) (0, 25 điểm)
Diện tích của cái sân đó là: (0, 2 điểm)
20 x 15 = 300 (m2) (0, 25 điểm)
Đáp số: 300 (m2) (0, 1 điểm)
* Lưu ý: Các cách giải khác mà có kết quả đúng học sinh vẫn đạt điểm tối đa.
|
Mạch kiến thức, kĩ năng |
Số câu, số điểm |
Mức 1
|
Mức 2
|
Mức 3
|
Mức 4
|
Tổng |
|
Số học: So sánh phân số. Viết các phân số theo thứ tự từ bé đến lớn. Biết cộng, trừ, nhân, chia hai phân số; tìm một thành phần chưa biết trong phép tính; Giải bài toán tìm hai số khi biết tổng và hiệu của hai số đó. |
Số câu |
03
|
02 |
01 |
01 |
07 |
|
|
Số điểm |
03 |
02 |
01 |
01 |
07 |
|
Đại lượng và đo đại lượng: Chuyển đổi số đo khối lượng, diện tích. |
Số câu
|
|
01 |
|
|
01 |
|
|
Số điểm
|
|
01 |
|
|
01 |
|
Yếu tố hình học:; Nhận biết hình thoi; tính diện tích hình bình hành |
Số câu
|
01 |
|
01 |
|
02 |
|
|
Số điểm
|
01 |
|
01 |
|
02 |
|
Tổng |
Số câu
|
04 |
03 |
02 |
01 |
10 |
|
|
Số điểm
|
04 |
03 |
02 |
01 |
10 |
Ma trận câu hỏi đề kiểm tra môn Toán giữa học kỳ II lớp 4
|
Mạch kiến thức, kĩ năng |
Số câu, số điểm |
Mức 1
|
Mức 2
|
Mức 3
|
Mức 4
|
Tổng |
|
Số học |
Số câu |
03 |
02 |
01 |
01 |
07 |
|
|
Câu số |
1, 2, 4 |
5, 8 |
9 |
7 |
|
|
Đại lượng và đo đại lượng |
Số câu |
|
01 |
|
|
01 |
|
|
Câu số |
|
6 |
|
|
|
|
Yếu tố hình học |
Số câu |
01 |
|
01 |
|
02 |
|
|
Câu số |
3 |
|
10 |
|
|
|
Tổng số câu |
Số câu |
04 |
03 |
02 |
01 |
10 |
Theo Nghị định 147/2024/ND-CP, bạn cần xác thực tài khoản trước khi sử dụng tính năng này. Chúng tôi sẽ gửi mã xác thực qua SMS hoặc Zalo tới số điện thoại mà bạn nhập dưới đây: