Đề kiểm tra Học kỳ 1 lớp 11 năm 2012 - 2013, THPT Lê Thánh Tông tỉnh Gia Lai Môn: Toán, Văn, Tiếng Anh, Hóa, Sinh, Sử, Địa lý, Vật lý

SỞ GD&ĐT GIA LAI
TRƯỜNG THPT LÊ THÁNH TÔNG

KIỂM TRA HỌC KÌ 1 LỚP 11
NĂM HỌC: 2012 - 2013

ĐỀ THI MÔN: TOÁN (Thời gian: 90 phút)

I- PHẦN CHUNG CHO TẤT CẢ THÍ SINH (7 điểm):

Bài 1: (0,75 điểm)

Tìm tập xác định của hàm số

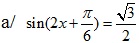
Bài 2: (1,75 điểm) Giải phương trình

Bài 3: (1,0 điểm)

Một hộp kín đựng 18 viên bi khác nhau, trong đó có 8 bi màu xanh và 10 bi màu đỏ. Lấy ngẫu nhiên 5 viên bi, tính xác suất để số bi lấy được gồm 2 viên bi màu xanh và 3 viên bi màu đỏ.

Bài 4: (2,5 điểm)

Cho hình chóp S.ABCD, có đáy ABCD là hình bình hành tâm O. Gọi M, N, P lần lượt là trung điểm của BC, CD và SA.

a/ Chứng minh MN // mp (SBD) và tìm giao tuyến của 2 mặt phẳng (SMN) và (SBD)

b/ Tìm giao tuyến của mp (MNP) với mp (SAC) và tìm giao điểm I của đường thẳng SO với mp (MNP)

c/ Xác định thiết diện tạo bởi mp (MNP) cắt hình chóp .

Bài 5: (1,0 điểm)

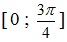
Tìm m để phương trình: sin2x + m = sinx + 2m cosx có đúng 2 nghiệm phân biệt thuộc đoạn

II -PHẦN RIÊNG (3 điểm): Thí sinh học chương trình nào chỉ được làm phần dành riêng cho chương trình đó.

A- Theo chương trình chuẩn:

Bài 6A (3,0 điểm):

a/ Một cấp số cộng (un) có u1 = 5; u12 = 38. Tìm số hạng u15

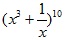
b/ Tìm số hạng chứa x6 của khai triển

c/ Trong mặt phẳng Oxy, viết phương trình (d/) là ảnh của đường thẳng (d) có phương trình x – 3y + 2 = 0 qua phép tịnh tiến theo véc tơ v = (2; -1)

B- Theo chương trình nâng cao:

Bài 6B (3,0 điểm):

a/ Từ tập hợp các chữ số 0, 1, 2, 3, 4, 5 có thể lập được bao nhiêu số chẵn có 4 chữ số khác nhau.

b/ Tìm hệ số của x5 trong khai triển (x + 1)4 + (x + 1)5 + (x + 1)6 + (x + 1)7

c/ Trong mặt phẳng Oxy, cho đường thẳng d: x – 3y + 2 = 0 và I(1 ; 2) .Viết phương trình d/ là ảnh của d qua phép vị tự tâm I tỉ số k = 3.

ĐỀ THI MÔN: NGỮ VĂN (Thời gian: 90 phút)

Câu 1 (3 điểm):

Hãy viết một bài văn ngắn (khoảng 300 từ) trình bày suy nghĩ của anh (chị) về câu nói sau :’’Một trong những tổn thất không có gì bù đắp được là tổn thất về thời gian’’.

Câu 2 (7 điểm):

Phân tích diễn biến tâm trạng của nhân vật Chí Phèo sau cuộc gặp gỡ với thị Nở cho đến kết thúc truyện (”Chí Phèo” – Nam Cao).

ĐỀ THI MÔN: LỊCH SỬ (Thời gian: 45 phút)

Câu 1: (4,0 điểm)

Trình bày nét chính diễn biến Cách mạng tháng Mười Nga (1917). Ảnh hưởng Cách mạng tháng Mười Nga đến cách mạng Việt Nam?

Câu 2: (3.0 điểm)

Lí giải những điểm cơ bản trong Chính sách mới của Tổng thống Mĩ Ru-dơ-ven và tác dụng của chính sách đó đối với nước Mĩ ?

Câu 3: (3.0 điểm)

Hậu qủa của khủng hoảng kinh tế thế giới 1929-1933 đối với quan hệ quốc tế như thế nào? Vì sao Việt Nam cũng chịu tác động ảnh hưởng của cuộc khủng hoảng kinh tế thế giới 1929 – 1933?

Download tài liệu để xem thêm chi tiết.

Chia sẻ bởi: 👨 Lê Thị tuyết Mai
Liên kết tải về

Chọn file cần tải:

Tìm thêm: Toán 11
Xác thực tài khoản!

Theo Nghị định 147/2024/ND-CP, bạn cần xác thực tài khoản trước khi sử dụng tính năng này. Chúng tôi sẽ gửi mã xác thực qua SMS hoặc Zalo tới số điện thoại mà bạn nhập dưới đây:

Số điện thoại chưa đúng định dạng!
Số điện thoại này đã được xác thực!
Bạn có thể dùng Sđt này đăng nhập tại đây!
Lỗi gửi SMS, liên hệ Admin
Sắp xếp theo
👨
Đóng
Chỉ thành viên Download Pro tải được nội dung này! Download Pro - Tải nhanh, website không quảng cáo! Tìm hiểu thêm
Nhắn tin Zalo