Hỗ trợ tư vấn
Tư vấn - Giải đáp - Hỗ trợ đặt tài liệu
Mua gói Pro để tải file trên Download.vn (không bao gồm tài liệu cao cấp) và trải nghiệm website không quảng cáo
Tìm hiểu thêm »Download.vn xin gửi đến quý thầy cô giáo và các bạn học sinh đề kiểm tra chất lượng đầu năm môn Toán lớp 7 trường THCS Tiên Động, Hải Dương năm học 2017 - 2018. Đây là đề kiểm tra chất lượng đầu năm lớp 7 nhằm đánh giá chất lượng học sinh. Đề thi khảo sát chất lượng đầu năm môn Toán lớp 7 có đáp án chi tiết kèm theo sẽ giúp các em học sinh ôn tập các dạng bài tập Toán chuẩn bị cho bài thi khảo sát chất lượng đầu năm.
|
PHÒNG GD&ĐT TỨ KỲ Trường THCS Tiên Động |
BÀI KHẢO SÁT CHẤT LƯỢNG TOÁN 7 Năm học: 2017-2018 Thời gian làm bài 60 phút |
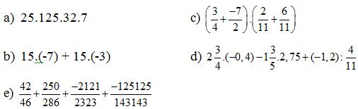
Câu 1 (2,5 điểm): Thực hiện phép tính:

Câu 2 (2,5 điểm): Tìm x, biết:

Câu 3 (1,5 điểm): Lớp 6A có 40 học sinh. Số học sinh giỏi bằng 1/5 số học sinh cả lớp, số học sinh khá bằng 5/2 số học sinh giỏi, số học sinh trung bình bằng 50% số học sinh khá, còn lại là học sinh yếu. Tính số học sinh các loại giỏi, khá, trung bình, yếu.
Câu 4 (2,5 điểm) Trên cùng một nửa mặt phẳng bờ chứa tia Ox vẽ các tia Oy, Oz sao cho góc xOy = 500, góc xOz = 1200.
a) Tính góc yOz?
b) Vẽ tia On, Om lần lượt là tia phân giác của các góc xOy, góc yOz. Tính góc mOn?
c) Vẽ tia Ot là tia đối của tia Oz. Tia Ox có là tia phân giác của góc yOt không? Vì sao?
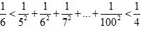
Câu 5 (1 điểm).
Chứng minh rằng:
.
-----Hết-----


Theo Nghị định 147/2024/ND-CP, bạn cần xác thực tài khoản trước khi sử dụng tính năng này. Chúng tôi sẽ gửi mã xác thực qua SMS hoặc Zalo tới số điện thoại mà bạn nhập dưới đây: