Hỗ trợ tư vấn
Tư vấn - Giải đáp - Hỗ trợ đặt tài liệu
Mua gói Pro để tải file trên Download.vn (không bao gồm tài liệu cao cấp) và trải nghiệm website không quảng cáo
Tìm hiểu thêm »
Bài 1: Đại học khối B năm 2011
Giải phương trình: ![]()
Giải:
Cách 1:

Cách 2:

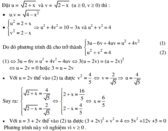
Bài 2: Đại học khối B năm 2010
Giải phương trình: ![]()
Giải:


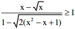
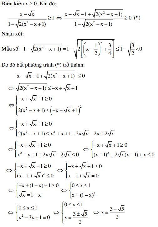
Bài 1: Đại học khối A năm 2010
Giải bất phương trình: 
Giải:

Download tài liệu để xem chi tiết.
Theo Nghị định 147/2024/ND-CP, bạn cần xác thực tài khoản trước khi sử dụng tính năng này. Chúng tôi sẽ gửi mã xác thực qua SMS hoặc Zalo tới số điện thoại mà bạn nhập dưới đây: