Hỗ trợ tư vấn
Tư vấn - Giải đáp - Hỗ trợ đặt tài liệu
Mua gói Pro để tải file trên Download.vn (không bao gồm tài liệu cao cấp) và trải nghiệm website không quảng cáo
Tìm hiểu thêm »I. Một số ghi nhớ
* a2 ≥ 0, (a ± )2 ≥ 4ab; với mọi a, b
* a2 ± ab + b2 > 0, với mọi a, b
* |a| ≥ ± a, vơi mọi a
* |a + b| ≤ |a| + |b|; với mọi a, b
* |a - b| ≥ |a| - |b|; với mọi a, b
* - 1 ≤ sinx ≤ 1; -1 ≤ cosx ≤ 1
II. Bất đẳng thức Cauchy
Cho hai số a, b, không âm
1. Ta có: a + b ≥ 2√a.b; dấu "=" xảy ra khi a = b
2. Nếu a + b = const thì tích a.b lớn nhất khi a = b
3. Nếu a.b = const thì tổng a + b nhỏ nhất khi a = b
Bài 1: Đại học khối A năm 2011
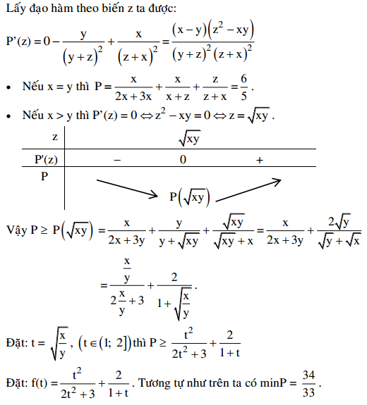
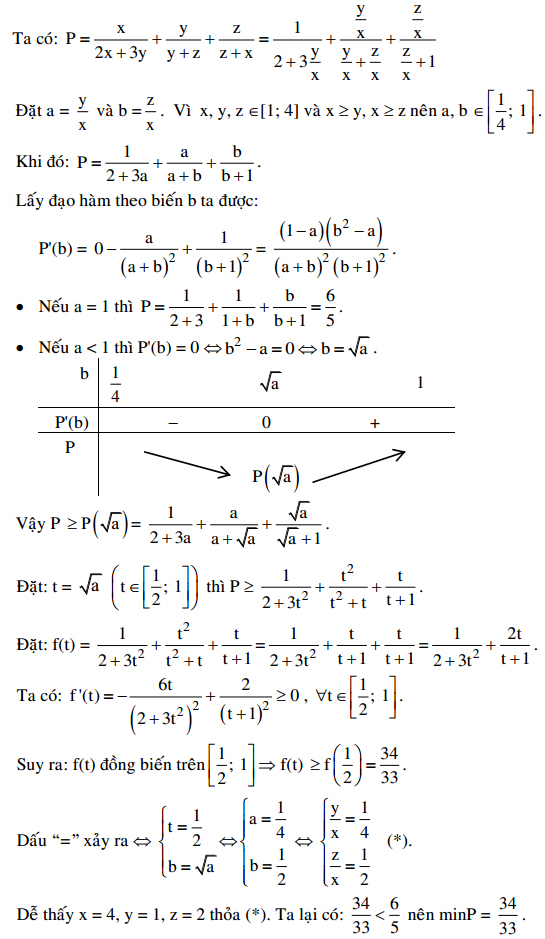
Cho x, y, z là ba số thực thuộc đoạn [1; 4] và x ≥ y, x ≥ z;
Tìm giá trị nhỏ nhất của biểu thức:
Giải:
Cách 1:

Cách 2:

Cách 3: 
Download tài liệu để xem chi tiết.
Theo Nghị định 147/2024/ND-CP, bạn cần xác thực tài khoản trước khi sử dụng tính năng này. Chúng tôi sẽ gửi mã xác thực qua SMS hoặc Zalo tới số điện thoại mà bạn nhập dưới đây: