Hỗ trợ tư vấn
Tư vấn - Giải đáp - Hỗ trợ đặt tài liệu
Mua gói Pro để tải file trên Download.vn (không bao gồm tài liệu cao cấp) và trải nghiệm website không quảng cáo
Tìm hiểu thêm »I. Sử dụng ba tính chất sau để biến đổi tích phân cần tính thành tổng - hiệu các tích phân cơ bản

II. Bảng nguyên hàm cơ bản


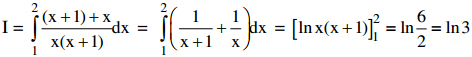
Bài 1: Cao đẳng khối A, B, D năm 2011
Tính tích phân: ![]()
Giải:

Bài 2: Cao đẳng khối A, B, D năm 2010

Giải:

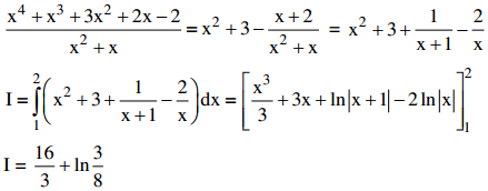
Bài 3: Cao đăng GTVT III khối A năm 2007
Tính tích phân sau: 
Giải:
Chia tử cho mẫu ta được:

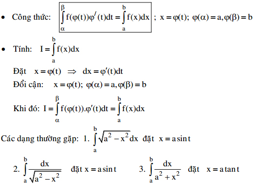
I. Đổi biến số loại 1

II. Đổi biến số loại 2

Bài 1: Đại học khối A năm 2011
Tính tích phân: 
Giải:

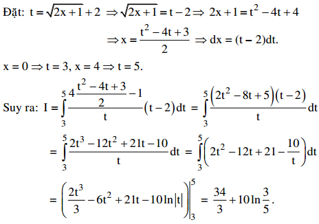
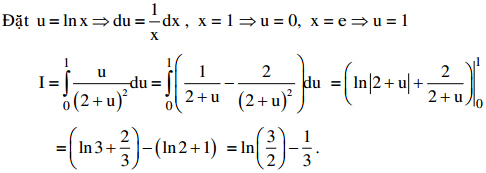
Bài 2: Đại học khối D năm 2011
Tính tích phân: 
Giải:

Bài 3: Đại học khối D năm 2010
Tính tích phân: 
Giải:

Download tài liệu để xem chi tiết.
Theo Nghị định 147/2024/ND-CP, bạn cần xác thực tài khoản trước khi sử dụng tính năng này. Chúng tôi sẽ gửi mã xác thực qua SMS hoặc Zalo tới số điện thoại mà bạn nhập dưới đây: