Hỗ trợ tư vấn
Tư vấn - Giải đáp - Hỗ trợ đặt tài liệu
Mua gói Pro để tải file trên Download.vn (không bao gồm tài liệu cao cấp) và trải nghiệm website không quảng cáo
Tìm hiểu thêm »I. Tọa độ

II. Mặt phẳng
- Vecto pháp tuyến của mặt phẳng là vecto khác vecto 0 và có giá vuông góc mặt phẳng.
- Phương trình tổng quát: (α): Ax + By + Cz + D = 0 (A2 + B2 + C2) # 0
- 
→ (α): A(x - xo) + B(y - yo) + C(z - zo) = 0
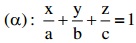
- Mặt phẳng chắn: (α) cắt Ox, Oy, Oz lần lượt tại A(a; 0; 0), B(0; b; 0), C(0; 0; c), (a, b, c # 0)
![]()
- Mặt phẳng đặc biệt: (Oxy): z = 0; (Oxz): y = 0, (Oyz): x = 0
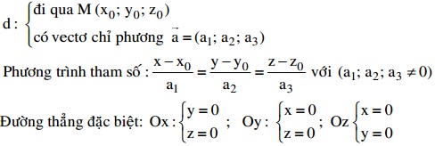
III. Đường thẳng
- Vector chỉ phương của đường thẳng là vecto khác 0 và có giá cùng phương với đường thẳng

Bài 1: Đại học khối D năm 2011
Trong không gian với hệ tọa độ Oxyz, cho điểm A(1; 2; 3) và đường thẳng d:
. Viết phương trình đường thẳng Δ đi qua điểm A, vuông góc với đường thẳng d và cắt trục Ox.
Giải:

Cách 1:

Cách 2:

Download tài liệu để xem chi tiết.
Theo Nghị định 147/2024/ND-CP, bạn cần xác thực tài khoản trước khi sử dụng tính năng này. Chúng tôi sẽ gửi mã xác thực qua SMS hoặc Zalo tới số điện thoại mà bạn nhập dưới đây: