Hỗ trợ tư vấn
Tư vấn - Giải đáp - Hỗ trợ đặt tài liệu
Mua gói Pro để tải file trên Download.vn (không bao gồm tài liệu cao cấp) và trải nghiệm website không quảng cáo
Tìm hiểu thêm »Phương trình mũ
Dạng 1: Dạng cơ bản: với a < 0 và a # 1
![]()
Dạng 2: Đưa về cùng cơ số: af(x) = ag(x) (1)
- Nếu 0 < a # 1: (1) ↔ f(x) = g(x)
- Nếu a thay đổi: ![]()
Dạng 3: Đặt ẩn phụ: Đặt t = ax, t > 0, giải phương trình ↔ ![]()
Dạng 4: Đoán nghiệm và chứng minh nghiệm đó duy nhất
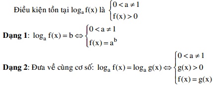
Phương trình Logarit

Dạng 3: Đặt ẩn phụ
Đặt t = logax sau đó giải phương trình đại số theo t
Dạng 4: Đoán nghiệm và chứng minh nghiệm duy nhất
Bài 1: Đại học khối D năm 2011
Giải phương trình: ![]()
Giải:

Download tài liệu để xem chi tiết.
Theo Nghị định 147/2024/ND-CP, bạn cần xác thực tài khoản trước khi sử dụng tính năng này. Chúng tôi sẽ gửi mã xác thực qua SMS hoặc Zalo tới số điện thoại mà bạn nhập dưới đây: