Hỗ trợ tư vấn
Tư vấn - Giải đáp - Hỗ trợ đặt tài liệu
Mua gói Pro để tải file trên Download.vn (không bao gồm tài liệu cao cấp) và trải nghiệm website không quảng cáo
Tìm hiểu thêm »Giải Hoá 11 Bài 3: Ôn tập chương 1 là tài liệu vô cùng hữu ích, giúp các em học sinh lớp 11 có thêm nhiều gợi ý tham khảo, nhanh chóng trả lời toàn bộ câu hỏi trong sách Kết nối tri thức với cuộc sống trang 27, 28.
Soạn Hóa 11 Kết nối tri thức Bài 3 được trình bày khoa học, chi tiết giúp các em rèn kỹ năng giải Hóa, so sánh đáp án vô cùng thuận tiện. Đồng thời đây cũng là tài liệu giúp quý thầy cô tham khảo để soạn giáo án cho riêng mình. Vậy sau đây là giải Hóa 11 Ôn tập chương 1 Kết nối tri thức, mời các bạn cùng theo dõi tại đây.
Hằng số KC của một phản ứng phụ thuộc vào yếu tố nào sau đây?
A. Nồng độ.
B. Nhiệt độ.
C. Áp suất.
D. Chất xúc tác.
Gợi ý đáp án
Đáp án đúng là: B
Hằng số KC của một phản ứng phụ thuộc vào nhiệt độ.
Thêm nước vào 10 mL dung dịch HCl 1,0 mol/L để được 1 000 mL dung dịch A. Dung dịch mới thu được có pH thay đổi như thế nào so với dung dịch ban đầu?
A. pH giảm đi 2 đơn vị.
B. pH giảm đi 0,5 đơn vị.
C. pH tăng gấp đôi.
D. pH tăng 2 đơn vị.
Gợi ý đáp án
Đáp án đúng là: D
Pha loãng dung dịch 100 lần thì nồng độ giảm 100 lần ⇒ pH tăng 2 đơn vị.
Tính pH của các dung dịch sau:
a) Dung dịch NaOH 0,1 M;
b) Dung dịch HCl 0,1 M;
c) Dung dịch Ca(OH)2 0,01 M.
Gợi ý đáp án
a) NaOH → Na+ + OH-
0,1 → 0,1 M
Ta có: [H+].[OH]- = 10-14

Ta có: pH = -log[H+] = 13.
b) HCl → H+ + Cl-
0,1 → 0,1 M
Ta có: pH = -log[H+] = 1 M.
c) Ca(OH)2 → Ca2+ + 2OH-
0,01 → 0,02 M
Ta có: [H+].[OH]- = 10-14

Ta có: pH = -log[H+] = 12,3.
Viết biểu thức hằng số cân bằng KC cho các phản ứng sau:
a) 2SO2(g) + O2(g) ⇌ 2SO3 (g)
b) 2C(s) + O2(g) ⇌ 2CO(g)
c) AgCl(s) ⇌ Ag+(aq) + Cl-(aq)
Gợi ý đáp án
a) 2SO2(g) + O2(g) ⇌ 2SO3 (g)
b) 2C(s) + O2(g) ⇌ 2CO(g)
c) AgCl(s) ⇌ Ag+(aq) + Cl-(aq)
KC = [Ag+].[Cl-]
Cho cân bằng hoá học sau:
H2(g) + I2(g) ⇌ 2HI(g)
= -9,6 kJ
Nhận xét nào sau đây không đúng?
A. Khi tăng nhiệt độ, cân bằng trên chuyển dịch theo chiều nghịch.
B. Ở nhiệt độ không đổi, khi tăng áp suất thì cân bằng không bị chuyển dịch.
C. Ở nhiệt độ không đổi, khi tăng nồng độ H2 hoặc I2 thì giá trị hằng số cân bằng tăng.
D. Ở trạng thái cân bằng, tốc độ phản ứng thuận bằng tốc độ phản ứng nghịch.
Gợi ý đáp án
Đáp án đúng là: C
Hằng số cân bằng chỉ phụ thuộc vào nhiệt độ và bản chất của phản ứng, không phụ thuộc vào nồng độ.
Xét phản ứng xảy ra trong lò luyện gang:
Fe2O3 (s) + 3CO(g) ⇌ 2Fe(s) + 3CO2(g) ∆rHo < 0
Nêu các yếu tố (nồng độ, nhiệt độ, áp suất) cần tác động vào cân bằng trên để cân bằng chuyển dịch về bên phải (làm tăng hiệu suất của phản ứng).
Gợi ý đáp án
- Tăng nồng độ CO, cân bằng sẽ chuyển dịch theo chiều làm giảm nồng độ CO, tức chiều thuận, chiều tăng hiệu suất phản ứng.
- ∆rHo < 0 ⇒ Chiều thuận toả nhiệt ⇒ Giảm nhiệt độ, cân bằng sẽ chuyển dịch theo chiều làm tăng nhiệt độ tức chiều thuận, chiều tăng hiệu suất phản ứng.
- Do phản ứng thuận nghịch có tổng hệ số tỉ lượng của các chất khí ở hai vế bằng nhau, việc thay đổi áp suất không làm ảnh hưởng đến cân bằng.
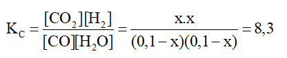
Cho cân bằng hoá học sau:
CO(g) + H2O(g) ⇌ CO2(g) + H2(g)
Ở 700oC, hằng số cân bằng KC = 8,3. Cho 1 mol khí CO và 1 mol hơi nước vào bình kín, dung tích 10 lít và giữ ở 700oC. Tính nồng độ các chất ở trạng thái cân bằng.
Gợi ý đáp án
Nồng độ ban đầu của khí CO là:
Nồng độ ban đầu của hơi nước H2O là:
CO(g) + H2O(g) ⇌ CO2(g) + H2(g)
Ban đầu: 0,1 0,1 0 0 M
Phản ứng: x x x x M
Cân bằng: (0,1 – x) (0,1 – x) x x M
Áp dụng công thức:

⇒ x2 = 8,3(x2 – 0,2x + 0,01)
⇔ 7,3x2 – 1,66x + 0,083 = 0
⇒ x = 0,074 (thoả mãn); x = 0,153 (loại do > 0,1).
Vậy ở trạng thái cân bằng:
[CO2] = [H2] = 0,074 M.
[CO] = [H2O] = 0,026 M.
Theo Nghị định 147/2024/ND-CP, bạn cần xác thực tài khoản trước khi sử dụng tính năng này. Chúng tôi sẽ gửi mã xác thực qua SMS hoặc Zalo tới số điện thoại mà bạn nhập dưới đây: