Hỗ trợ tư vấn
Tư vấn - Giải đáp - Hỗ trợ đặt tài liệu
Mua gói Pro để tải file trên Download.vn (không bao gồm tài liệu cao cấp) và trải nghiệm website không quảng cáo
Tìm hiểu thêm »Giải bài tập SGK Vật lí 12 trang 53, 54, 55, 56 sách Chân trời sáng tạo giúp các em học sinh lớp 12 xem gợi ý giải các câu hỏi Bài 8: Áp suất - Động năng của phân tử khí thuộc Chương 2: Khí lí tưởng.
Soạn Lý 12 Chân trời sáng tạo Bài 8 các em sẽ biết cách trả lời toàn bộ các câu hỏi bài học này. Đồng thời, qua tài liệu này giúp quý thầy cô tham khảo để soạn giáo án cho học sinh của mình theo chương trình mới. Mời thầy cô và các em cùng theo dõi bài viết dưới đây của Download.vn:
Tính trung bình của bình phương tốc độ trong chuyển động nhiệt của phân tử khí helium có khối lượng mol là 4 g/mol ở nhiệt độ 320 K. Coi các phân tử khí là giống nhau.
Lời giải:
Trung bình của bình phương tốc độ trong chuyển động nhiệt của phân tử khí:

Không khí nóng sẽ bốc lên cao, tuy nhiên khi đứng trên đỉnh núi cao ta lại thấy lạnh hơn so với khi ở chân núi. Hãy giải thích điều này.
Lời giải:
Khi đứng trên đỉnh núi cao ta lại thấy lạnh hơn so với khi ở chân núi. Vì:
- Nhiệt độ không khí giảm dần theo độ cao:
+ Khi độ cao tăng, mật độ không khí giảm.
+ Càng lên cao, mật độ không khí càng loãng, dẫn đến khả năng giữ nhiệt kém hơn.
+ Trung bình, cứ lên cao 100m, nhiệt độ giảm 0,6°C.
- Núi cao cản trở sự di chuyển của hơi nước:
+ Hơi nước trong không khí đóng vai trò như một tấm chăn giữ nhiệt.
+ Núi cao cản trở sự di chuyển của hơi nước, khiến cho nhiệt độ ở đỉnh núi thấp hơn.
- Gió:
+ Gió thường mạnh hơn ở độ cao lớn hơn.
+ Gió làm tăng tốc độ truyền nhiệt từ cơ thể, khiến ta cảm thấy lạnh hơn.
Hai bình kín có thể tích bằng nhau đều chứa khí lí tưởng ở cùng một nhiệt độ. Khối lượng khí trong hai bình bằng nhau nhưng khối lượng một phân tử khí của bình 1 lớn gấp hai lần khối lượng một phân tử khí ở bình 2. Áp suất khí ở bình 1
A. bằng áp suất khí ở bình 2.
B. gấp bốn lần áp suất khí ở bình 2.
C. gấp hai lần áp suất khí ở bình 2.
D. bằng một nửa áp suất khí ở bình 2.
Lời giải:
Đáp án đúng là D
Gọi m1, V1 lần lượt là khối lượng và thể tích của khí ở bình 1
m2, V2 lần lượt là khối lượng và thể tích của khí ở bình 2
m01, m02 lần lượt là khối lượng một phân tử khí ở bình 1 và bình 2
Theo đề bài ta có: m1 = m2 = m; V1 = V2 = V; m01 = 2m02
Số phân tử khí chứa trong bình 1 là
\(N_{1} = \frac{m_{1} }{m_{01} } = \frac{m}{2m_{02} } (1)\)
Số phân tử khí chứa trong bình 2 là
\(N_{2} = \frac{m_{2} }{m_{02} } = \frac{m}{m_{02} } (2)\)
Từ (1) và (2) ⇒ N2 = 2N1
Mật độ phân tử khí ở bình 1 là:
\(μ_{1} = \frac{N_{1} }{V} (3)\)
Mật độ phân tử khí ở bình 2 là:
\(μ_{2} = \frac{N_{2} }{V} = \frac{2N_{1} }{V} (4)\)
Từ (3) và (4) ⇒ μ2 = 2μ1
Áp suất khí ở bình 1 là
\(p_{1} = \frac{1}{3} \mu _{1} .m.\bar{v^{2} }\)
Áp suất khí ở bình 2 là
\(p_{2} = \frac{1}{3} \mu _{2} .m.\bar{v^{2} } = \frac{1}{3} 2\mu _{1} .m.\bar{v^{2} } = 2p_{1}\)
Vậy áp suất khí ở bình 1 bằng một nửa áp suất khí ở bình 2.
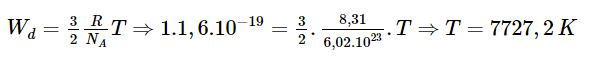
Tính nhiệt độ của một khối khí để động năng tịnh tiến trung bình của các phân tử khí đó bằng 1,0 eV. Lấy 1 eV = 1,6.10-19 J.
Lời giải:

Xét khối khí chứa trong một bình kín, biết mật độ động năng phân tử (tổng động năng tịnh tiến trung bình của các phân tử khí trong 1 m3 thể tích khí) có giá trị 10-4 J/m3. Tính áp suất của khí trong bình.
Theo Nghị định 147/2024/ND-CP, bạn cần xác thực tài khoản trước khi sử dụng tính năng này. Chúng tôi sẽ gửi mã xác thực qua SMS hoặc Zalo tới số điện thoại mà bạn nhập dưới đây: