Hỗ trợ tư vấn
Tư vấn - Giải đáp - Hỗ trợ đặt tài liệu
Mua gói Pro để tải file trên Download.vn (không bao gồm tài liệu cao cấp) và trải nghiệm website không quảng cáo
Tìm hiểu thêm »Đề thi Violympic Vật Lý lớp 11 vòng 1 năm 2016 - 2017 là đề thi giải Lý qua mạng dành cho học sinh lớp 11. Với đề thi này giúp các em học sinh ôn tập và củng cố kiến thức nhằm đạt kết quả cao trong các vòng thi tiếp theo của cuộc thi Violympic Vật Lý qua mạng năm 2016.
Đề thi Violympic Vật lý lớp 11 vòng 3 năm 2016 - 2017
Đề thi Violympic Vật lý lớp 11 vòng 2 năm 2016 - 2017
Câu 1: Một hạt mang điện dương nằm trong điện trường sẽ
Chọn một câu trả lời
a. chuyển động từ nơi thế thấp về nơi thế cao.
b. chuyển động từ nơi thế cao về nơi thế thấp.
c. chuyển động ngược chiều đường sức.
d. đứng yên
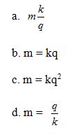
Câu 2: Gọi m là khối lượng chất được giải phóng ra ở điện cực của bình điện phân, k là đương lượng điện hóa và q là điện lượng chạy qua bình điện phân đó. Công thức của định luật Faraday I là
Chọn một câu trả lời

Câu 3: Ứng dụng nào sau đây KHÔNG liên quan đến dòng Fu-cô?
Chọn một câu trả lời
a. Phanh điện từ
b. Nấu chảy kim loại bằng cách để nó trong từ trường biến thiên
c. Lõi máy biến áp được ghép từ những lá thép mỏng cách điện với nhau
d. Đèn hình ti vi
Câu 4: Cho hai điện tích có độ lớn không đổi, đặt cách nhau một khoảng không đổi. Lực tương tác giữa chúng sẽ lớn nhất khi đặt trong môi trường
Chọn một câu trả lời
a. chân không
b. nước nguyên chất
c. dầu hỏa
d. không khí ở điều kiện tiêu chuẩn
Câu 5: Một nam châm vĩnh cửu KHÔNG tác dụng lực lên
Chọn một câu trả lời
a. thanh sắt chưa bị nhiễm từ
b. thanh sắt đã bị nhiễm từ
c. điện tích chuyển động
d. điện tích không chuyển động
Câu 6: Hiện tượng phản xạ toàn phần xảy ra khi
Chọn một câu trả lời
a. ánh sáng có chiều từ môi trường chiết quang hơn sang môi trường chiết quang kém và góc tới lớn hơn hoặc bằng góc giới hạn phản xạ toàn phần
b. ánh sáng có chiều từ môi trường chiết quang kém sang môi trường chiết quang hơn và góc tới lớn hơn hoặc bằng góc giới hạn phản xạ toàn phần
c. ánh sáng có chiều từ môi trường chiết quang kém sang môi trường chiết quang hơn và góc tới nhỏ hơn hoặc bằng góc giới hạn phản xạ toàn phần
d. ánh sáng có chiều từ môi trường chiết quang hơn sang môi trường chiết quang kém và góc tới nhỏ hơn hoặc bằng góc giới hạn phản xạ toàn phần
Câu 7: Phát biểu nào sau đây về hiện tượng khúc xạ là KHÔNG đúng?
Chọn một câu trả lời
a. Tia khúc xạ nằm ở trong môi trường thứ hai tiếp giáp với môi trường chứa tia tới
b. Tia khúc xạ nằm trong mặt phẳng chứa tia tới và pháp tuyến
c. Khi góc tới bằng 0, góc khúc xạ cũng bằng 0
d. Góc khúc xạ luôn bằng góc tới
Câu 8: Chọn câu SAI. Trong hiện tượng khúc xạ ánh sáng
Chọn một câu trả lời
a. khi góc tới i tăng thì góc khúc xạ r cũng tăng
b. góc khúc xạ r tỉ lệ thuận với góc tới i
c. hiệu số |i – r| cho biết góc lệch của tia sáng khi đi qua mặt phân cách giữa hai môi trường
d. nếu góc tới i bằng 0 thì tia sáng không bị lệch khi đi qua mặt phân cách giữa hai môi trường
Câu 9: Hạt tải điện trong kim loại là
Chọn một câu trả lời
a. ion dương
b. electron tự do
c. ion âm
d. ion dương và electron tự do
Câu 10: Chọn câu SAI
Chọn một câu trả lời
a. Kim loại là chất dẫn điện tốt
b. Dòng điện trong kim loại tuân theo định luật Ohm
c. Dòng điện chạy qua dây dẫn kim loại gây ra tác dụng nhiệt
d. Điện dẫn suất của kim loại tăng theo nhiệt độ
Câu 11: Điôt bán dẫn có tác dụng
Chọn một câu trả lời
a. chỉnh lưu dòng điện
b. làm cho dòng điện qua đoạn mạch nối tiếp với nó có độ lớn không đổi
c. làm dòng điện đi qua nó thay đổi chiều liên tục
d. làm khuếch đại dòng điện đi qua nó
Câu 12: Đơn vị từ thông 1 vêbe có giá trị bằng
Chọn một câu trả lời
a. 1 T.m2
b. 1 T.m
c. 1 T/m
d. 1 T/m2
Câu 13: Dòng điện trong kim loại là dòng chuyển dời có hướng của
Chọn một câu trả lời
a. các ion dương
b. các electron
c. các ion âm
d. các nguyên tử
Câu 14: Đơn vị của hằng số Faraday (F) là
Chọn một câu trả lời
a. Fara (F)
b. Newton (N)
c. Coulomb/mol (C/mol)
d. Hertz (Hz)
Câu 15: Silic pha tạp asen thì nó là bán dẫn có
Chọn một câu trả lời
a. hạt tải cơ bản là electron và là bán dẫn loại n
b. hạt tải cơ bản là electron và là bán dẫn loại p
c. hạt tải cơ bản là lỗ trống và là bán dẫn loại n
d. hạt tải cơ bản là lỗ trống và là bán dẫn loại p
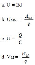
Câu 16: Biểu thức nào sau đây là biểu thức định nghĩa của hiệu điện thế?
Chọn một câu trả lời

Câu 17: Chọn câu SAI
Chọn một câu trả lời
a. Hai dòng điện thằng cùng chiều thì hút nhau
b. Giữa 2 điện tích luôn có tương tác từ
c. Hai dòng điện thẳng ngược chiều thì đẩy nhau
d. Giữa hai dòng điện đặt gần nhau có tương tác từ
Câu 18: Điện trường là
Chọn một câu trả lời
a. môi trường không khí quanh điện tích
b. môi trường chứa các điện tích
c. môi trường bao quanh điện tích, gắn với điện tích và tác dụng lực điện lên các điện tích khác đặt trong nó
d. môi trường dẫn điện
Câu 19: Hai tụ điện có kích thước như nhau, một tụ là không khí, tụ kia có điện môi với hằng số điện môi ϵ, đặt dưới cùng một hiệu điện thế. Nếu năng lượng của tụ không khí là W thì năng lượng của tụ có điện môi là
Chọn một câu trả lời
a. ϵW
b. W/ϵ
c. ϵ2 W
d. W/ ϵ2
Câu 20: Tia sáng đi từ một môi trường này sang một môi trường khác dọc theo pháp tuyến của mặt phân cách. Góc khúc xạ bằng
Chọn một câu trả lời
a. 0 độ
b. 90 độ
c. góc tới hạn
d. một góc nào đó tùy thuộc vào chiết suất của hai môi trường
Theo Nghị định 147/2024/ND-CP, bạn cần xác thực tài khoản trước khi sử dụng tính năng này. Chúng tôi sẽ gửi mã xác thực qua SMS hoặc Zalo tới số điện thoại mà bạn nhập dưới đây: