Hỗ trợ tư vấn
Tư vấn - Giải đáp - Hỗ trợ đặt tài liệu
Mua gói Pro để tải file trên Download.vn và trải nghiệm website không quảng cáo
Tìm hiểu thêm »Đề thi Violympic Vật lý lớp 11 vòng 3 năm 2016 - 2017 là tài liệu giúp các em học sinh ôn tập và củng cố kiến thức nhằm đạt kết quả cao trong các vòng thi tiếp theo của cuộc thi Violympic Lý qua mạng năm 2016. Mời quý thầy cô và các em học sinh tải về Đề thi Violympic Vật lý lớp 11 vòng 3 năm 2016 - 2017 dưới đây để tham khảo.
Đề thi Violympic Vật Lý lớp 7 vòng 8 năm học 2016 - 2017
Đề thi Violympic Vật Lý lớp 6 vòng 8 năm học 2016 - 2017
Câu 1: Tính chỉnh lưu của đèn điôt là tính chất
Chọn một câu trả lời
a. cho dòng điện chạy qua chân không
b. chỉ cho dòng điện chạy qua theo một chiều
c. dòng điện có thể đạt được giá trị bão hòa
d. cường độ dòng điện không tỉ lệ thuận với hiệu điện thế
Câu 2: Đường sức điện trường là
Chọn một câu trả lời
a. đại lượng đặc trưng cho điện trường về phương diện tác dụng lực
b. đường mà lực điện tác dụng dọc theo đó
c. các đường thẳng có chiều song song, cách đều nhau
d. những đường cong khép kín
Câu 3: Người ta vận dụng định luật truyền thẳng ánh sáng vào việc giải thích hiện tượng
Chọn một câu trả lời
a. Đảo sắc của vạch phổ
b. Nhật thực và nguyệt thực
c. Xảy ra trong sợi quang học
d. Tán sắc ánh sáng
Câu 4: Khi mắc song song n dãy, mỗi dãy m nguồn điện có điện trở trong r giống nhau thì điện trở trong của cả bộ nguồn cho bởi biểu thức
Chọn một câu trả lời
a. mr
b. mr2
c. m.nr
d. nr
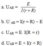
Câu 5: Nếu đoạn mạch AB chứa nguồn điện có suất điện động E, điện trở trong r và điện trở mạch ngoài là R thì hiệu điện thế hai đầu đoạn mạch cho bởi biểu thức
Chọn một câu trả lời

Câu 6: Khi xảy ra hiện tượng điện phân
Chọn một câu trả lời
a. catôt bị ăn mòn
b. nhiệt độ bình điện phân giảm đi vì tiêu hao năng lượng
c. có sự trao đổi điện tích giữa ion và điện cực
d. mật độ electron tự do trong bình điện phân giảm
Câu 7: Đơn vị của đương lượng điện hóa k là
Chọn một câu trả lời
a. đơn sị SI
b. kg/C
c. kg.C
d. N/m
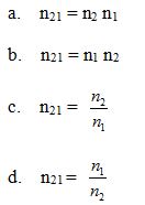
Câu 8: Với tia sáng đơn sắc, chiết suất của nước là n1, của thuỷ tinh là n2. Chiết suất tỉ đối giữa hai môi trường khi tia sang đó truyền từ nước sang thuỷ tinh là:
Chọn một câu trả lời

Câu 9: Hai điểm trên một đường sức trong một điện trường đều cách nhau 2 m. Độ lớn cường độ điện trường là 1000 V/m. Hiệu điện thế giữa hai điểm đó là
Chọn một câu trả lời
a. chưa đủ điều kiện để xác định
b. 1000 V
c. 500 V
d. 2000 V
Câu 10: Đơn vị của hằng số Faraday (F) là
Chọn một câu trả lời
a. Newton (N)
b. Coulomb/mol (C/mol)
c. Hertz (Hz)
d. Fara (F)
Câu 11: Ứng dụng nào sau đây KHÔNG liên quan đến dòng Fu-cô?
Chọn một câu trả lời
a. Nấu chảy kim loại bằng cách để nó trong từ trường biến thiên
b. Phanh điện từ
c. Lõi máy biến áp được ghép từ những lá thép mỏng cách điện với nhau
d. Đèn hình ti vi
Câu 12: Chọn một câu trả lời
a. Điện thế là đại lượng vô hướng
b. Chất cách điện là chất có chứa các điện tích tự do
c. Nguyên tử trung hòa nhận thêm electron trở thành ion âm
d. Các đường sức điện trường không khép kín
Câu 13: Chức năng của thị kính ở kính thiên văn là
Chọn một câu trả lời
a. dùng để quan sát vật với vai trò như kính lúp
b. dùng để quan sát ảnh tạo bởi vật kính với vai trò như kính lúp
c. tạo ra một ảnh thật của vật tại tiêu điểm của nó
d. chiếu sáng cho vật cần quan sát
Câu 14: Trong đoạn mạch chỉ có điện trở thuần, với thời gian như nhau, nếu cường độ dòng điện giảm 2 lần thì nhiệt lượng tỏa ra trên mạch
Chọn một câu trả lời
a. giảm 4 lần
b. tăng 2 lần
c. giảm 2 lần
d. tăng 4 lần
Câu 15: Phát biểu nào sau đây về suất điện động là KHÔNG đúng?
Chọn một câu trả lời
a. Suất điện động được đo bằng thương số giữa công của lực lạ dịch chuyển dòng điện tích ngược chiều điện trường và độ lớn của điện tích dịch chuyển
b. Suất điện động là đại lượng đặc trưng cho khả năng sinh công của nguồn điện.
c. Suất điện động của nguồn điện có trị số bằng hiệu điện thế giữa hai cực khi mạch ngoài hở.
d. Đơn vị suất điện động là Jun
Câu 16: Chọn câu ĐÚNG. Tụ điện
Chọn một câu trả lời
a. Có thể dự trữ các điện tích
b. Cho dòng điện một chiều đi qua
c. Tương đương như một điện trở
d. Chống lại sự thay đổi cường độ dòng điện trong mạch
Câu 17: Từ thông riêng của một ống dây tỉ lệ thuận với
Chọn một câu trả lời
a. hệ số tự cảm của ống dây và tốc độ biến thiên dòng điện qua dây
b. hệ số tự cảm của ống dây và cường độ dòng điện trong dây
c. hệ số tự cảm của ống dây và chiều dài ống
d. hệ số tự cảm của ống dây và chiều dài dây dẫn quấn trên ống
Câu 18: Cảm ứng từ bên trong ống dây hình trụ có dòng điện chạy qua có độ lớn tăng lên khi
Chọn một câu trả lời
a. chiều dài ống tăng lên
b. I giảm đi
c. đường kính ống dây giảm
d. số vòng dây tăng lên
Câu 19: Chọn câu SAI. Trong hiện tượng khúc xạ ánh sáng
Chọn một câu trả lời
a. hiệu số | i – r | cho biết góc lệch của tia sáng khi đi qua mặt phân cách giữa hai môi trường
b. khi góc tới i tăng thì góc khúc xạ r cũng tăng
c. nếu góc tới i bằng 0 thì tia sáng không bị lệch khi đi qua mặt phân cách giữa hai môi trường
d. góc khúc xạ r tỉ lệ thuận với góc tới i
Câu 20: Hiệu suất của nguồn điện được xác định bằng
Chọn một câu trả lời
a. tỉ số giữa công toàn phần và công có ích sinh ra ở mạch ngoài
b. công của dòng điện ở mạch ngoài
c. nhiệt lượng tỏa ra trên toàn mạch
d. tỉ số giữa công có ích và công toàn phần của dòng điện trên mạch
Theo Nghị định 147/2024/ND-CP, bạn cần xác thực tài khoản trước khi sử dụng tính năng này. Chúng tôi sẽ gửi mã xác thực qua SMS hoặc Zalo tới số điện thoại mà bạn nhập dưới đây: