Hỗ trợ tư vấn
Tư vấn - Giải đáp - Hỗ trợ đặt tài liệu
Mua gói Pro để tải file trên Download.vn và trải nghiệm website không quảng cáo
Tìm hiểu thêm »Đề thi Violympic Vật Lý lớp 11 vòng 2 năm 2016 - 2017 được được tổng hợp và biên soạn giúp các em học sinh ôn tập và củng cố kiến thức nhằm đạt kết quả cao trong các vòng thi tiếp theo của cuộc thi Violympic Vật Lý qua mạng năm 2016. Mời quý thầy cô và các em học sinh cùng tải về đề thi Violympic Vật Lý lớp 11 vòng 2 năm 2016 - 2017 để tham khảo.
Đề thi Violympic Vật lý lớp 11 vòng 3 năm 2016 - 2017
Đề thi Violympic Vật lý lớp 11 vòng 2 năm 2016 - 2017
Câu 1: Chọn phát biểu đúng về mối quan hệ giữa công của lực điện và thế năng tĩnh điện.
Chọn một câu trả lời
a. Lực điện thực hiện công âm thì thế năng tĩnh điện giảm
b. Công của lực điện là số đo độ biến thiên thế năng tĩnh điện
c. Lực điện thực hiện công dương thì thế năng tĩnh điện tăng
d. Công của lực điện cũng là thế năng tĩnh điện
Câu 2: Tụ điện là
Chọn một câu trả lời
a. hệ thống gồm hai vật dẫn đặt cách nhau một khoảng rất xa
b. hệ thống gồm hai vật dẫn tiếp xúc nhau và được bao bọc bằng điện môi
c. hệ thống gồm hai vật dẫn đặt gần nhau và ngăn cách nhau bằng một lớp cách điện
d. hệ thống gồm hai vật đặt gần nhau và ngăn cách nhau bằng một lớp cách điện
Câu 3: Dòng điện trong chất khí
Chọn một câu trả lời
a. là dòng ion dương do tác nhân ion hóa sinh ra
b. có thể tự duy trì bằng cách nhân số hạt tải điện
c. tuân theo định luật Ohm
d. là dòng electron phát ra từ catôt bị đun nóng
Câu 4: Theo định luật Ôm cho toàn mạch thì cường độ dòng điện cho toàn mạch
Chọn một câu trả lời
a. tỉ lệ nghịch với suất điện động của nguồn
b. tỉ lệ nghịch với điện trở ngoài của nguồn
c. tỉ lệ nghịch điện trở trong của nguồn
d. tỉ lệ nghịch với tổng điện trở trong và điện trở ngoài
Câu 5: Độ lớn của suất điện động cảm ứng trong mạch kín tỉ lệ với
Chọn một câu trả lời
a. điện trở của mạch
b. điện tích của mạch
c. độ lớn từ thông qua mạch
d. tốc độ biến thiên từ thông qua mạch ấy
Câu 6: Điện trở suất của kim loại
Chọn một câu trả lời
a. bằng không khi nhiệt độ rất thấp
b. thường có giá trị vào khoảng 108Ωm
c. tăng theo hàm bậc nhất của nhiệt độ
d. tăng tỉ lệ thuận với nhiệt độ
Câu 7: Sự điều tiết của mắt là
Chọn một câu trả lời
a. thay đổi vị trí của vật để ảnh của vật hiện rõ nét trên màng lưới
b. thay đổi độ cong của thủy tinh thể để ảnh của vật quan sát hiện rõ nét trên màng lưới
c. thay đổi đường kính của con ngươi để thay đổi cường độ của ánh sáng chiếu vào mắt
d. thay đổi khoảng cách từ thủy tinh thể đến màng lưới để ảnh của vật hiện rõ nét trên võng mạc
Câu 8: Trong máy quang phổ, lăng kính thực hiện chức năng
Chọn một câu trả lời
a. làm cho ánh sáng qua máy quang phổ hội tụ tại một điểm
b. làm cho ánh sáng qua máy quang phổ đều bị lệch
c. làm cho ánh sáng qua máy quang phổ được nhuộm màu
d. phân tích ánh sáng từ nguồn sáng thành những thành phần đơn sắc
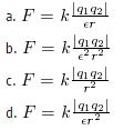
Câu 9: Biểu thức của định luật Cu-lông cho trường hợp điện tích điểm đặt trong điện môi:
Chọn một câu trả lời

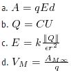
Câu 10: Đại lượng nào sau đây có đơn vị là volt (V)?
Chọn một câu trả lời

Câu 11: Khi quan sát vật nhỏ qua kính lúp, người ta phải đặt vật
Chọn một câu trả lời
a. tại tiêu điểm vật của kính
b. trong khoảng từ tiêu điểm vật đến quang tâm của kính
c. cách kính trong khoảng từ 1 lần tiêu cự đến 2 lần tiêu cự
d. cách kính lớn hơn 2 lần tiêu cự
Câu 12: Trong một điện trường đều E = 20 V/m, hai điểm M và N nằm cách nhau 20 cm trên phương của một đường sức thì có độ chênh lệch điện thế là
Chọn một câu trả lời
a. 1V
b. 400V
c. 4V
d. 100V
Câu 13: Thế năng của điện tích trong điện trường đặc trưng cho
Chọn một câu trả lời
a. khả năng tác dụng lực của điện trường
b. độ lớn nhỏ của vùng không gian có điện trường
c. phương chiều của cường độ điện trường
d. khả năng sinh công của điện trường
Câu 14: Lỗ trống là
Chọn một câu trả lời
a. một vị trí lỗ nhỏ trên bề mặt chất bán dẫn
b. một vị trí liên kết bị thiếu electron nên mang điện dương
c. một hạt có khối lượng bằng electron nhưng mang điện tích + e
d. một ion dương có thể di chuyển tự do trong bán dẫn
Câu 15: Điều nào sau đây là SAI khi nói đến các khái niệm về ánh sáng?
Chọn một câu trả lời
a. Ánh sáng phản xạ khỏi một vật luôn truyền theo phương vuông góc với bề mặt phản xạ
b. Nguồn sáng là những vật tự phát ra ánh sáng
c. Vật trong suốt là những vật cho ánh sáng truyền qua hoàn toàn
d. Trong một môi trường trong suốt và đồng tính, tia sáng là những đường thẳng
Câu 16: Phương của lực từ tác dụng lên dây dẫn mang dòng điện KHÔNG có đặc điểm nào sau đây?
Chọn một câu trả lời
a. Song song với các đường sức từ
b. Vuông góc với vector cảm ứng từ
c. Vuông góc với dây dẫn mang dòng điện
d. Vuông góc với mặt phẳng chứa vector cảm ứng từ và dòng điện
Câu 17: Đường sức điện trường là
Chọn một câu trả lời
a. đường mà lực điện tác dụng dọc theo đó
b. các đường thẳng có chiều song song, cách đều nhau
c. đại lượng đặc trưng cho điện trường về phương diện tác dụng lực
d. những đường cong khép kín
Câu 18: Chọn câu SAI
Chọn một câu trả lời
a. Tia khúc xạ nằm trong mặt phẳng tới và ở bên kia đường pháp tuyến so với tia tới
b. Góc khúc xạ r và góc tới i tỉ lệ với nhau
c. Tia khúc xạ và tia tới ở trong hai môi trường khác nhau
d. Hiện tượng khúc xạ là hiện tượng tia sáng bị đổi phương khi truyền qua mặt phân cách hai hiện tượng trong suốt
Câu 19: Cho một khung dây dẫn kín hình chữ nhật trong một từ trường đều. Trường hợp nào sau đây trong khung dây xuất hiện dòng điện cảm ứng?
Chọn một câu trả lời
a. Một cạnh của khung dây trượt song song với đường sức từ
b. Khung dây quay quanh một trục xiên góc với đường sức từ
c. Một cạnh của khung dây trượt xiên góc với đường sức từ trên một đường thẳng
d. Một cạnh của khung dây trượt vuông góc với đường sức từ
Câu 20: Điện trường do một điện tích điểm âm gây ra tại một điểm
Chọn một câu trả lời
a. phụ thuộc vào điện môi xung quanh
b. phụ thuộc độ lớn của nó
c. hướng về phía nó
d. hướng ra xa nó
Theo Nghị định 147/2024/ND-CP, bạn cần xác thực tài khoản trước khi sử dụng tính năng này. Chúng tôi sẽ gửi mã xác thực qua SMS hoặc Zalo tới số điện thoại mà bạn nhập dưới đây: